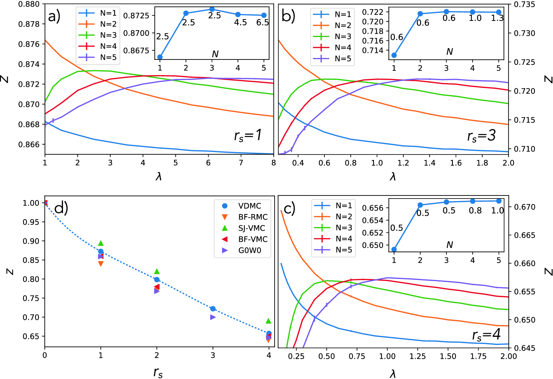
Figure 2
From: Single-particle excitations in the uniform electron gas by diagrammatic Monte Carlo

The wave-function renormalization factor Z versus screening parameter \(\lambda\) for various perturbation orders \(N=1...5\) and for \(r_s=1, 2, 3\) and 4. The insets show the convergence of Z with perturbation order N when its value is taken at the extremal \(\lambda\). The numbers next to each point show the value of \(\lambda\) used for each calculated point. Panel d) compares current VDMC results with prior Monte Carlo results from Ref.14 and G0W0 from Ref.25.