Figure 4

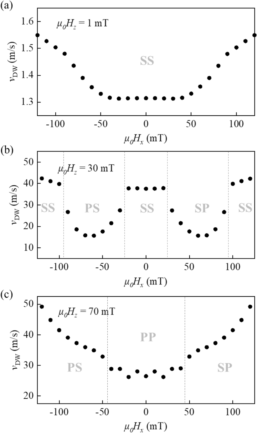
Line profiles of \(v_{{{\text{DW}}}}\) with respect to \(H_{x}\) under fixed \(H_{z}\) of (a) 1, (b) 30, and (c) 70Â mT. The paths of the line profiles are shown by the horizontal lines in Fig. 3b.

Line profiles of \(v_{{{\text{DW}}}}\) with respect to \(H_{x}\) under fixed \(H_{z}\) of (a) 1, (b) 30, and (c) 70Â mT. The paths of the line profiles are shown by the horizontal lines in Fig. 3b.