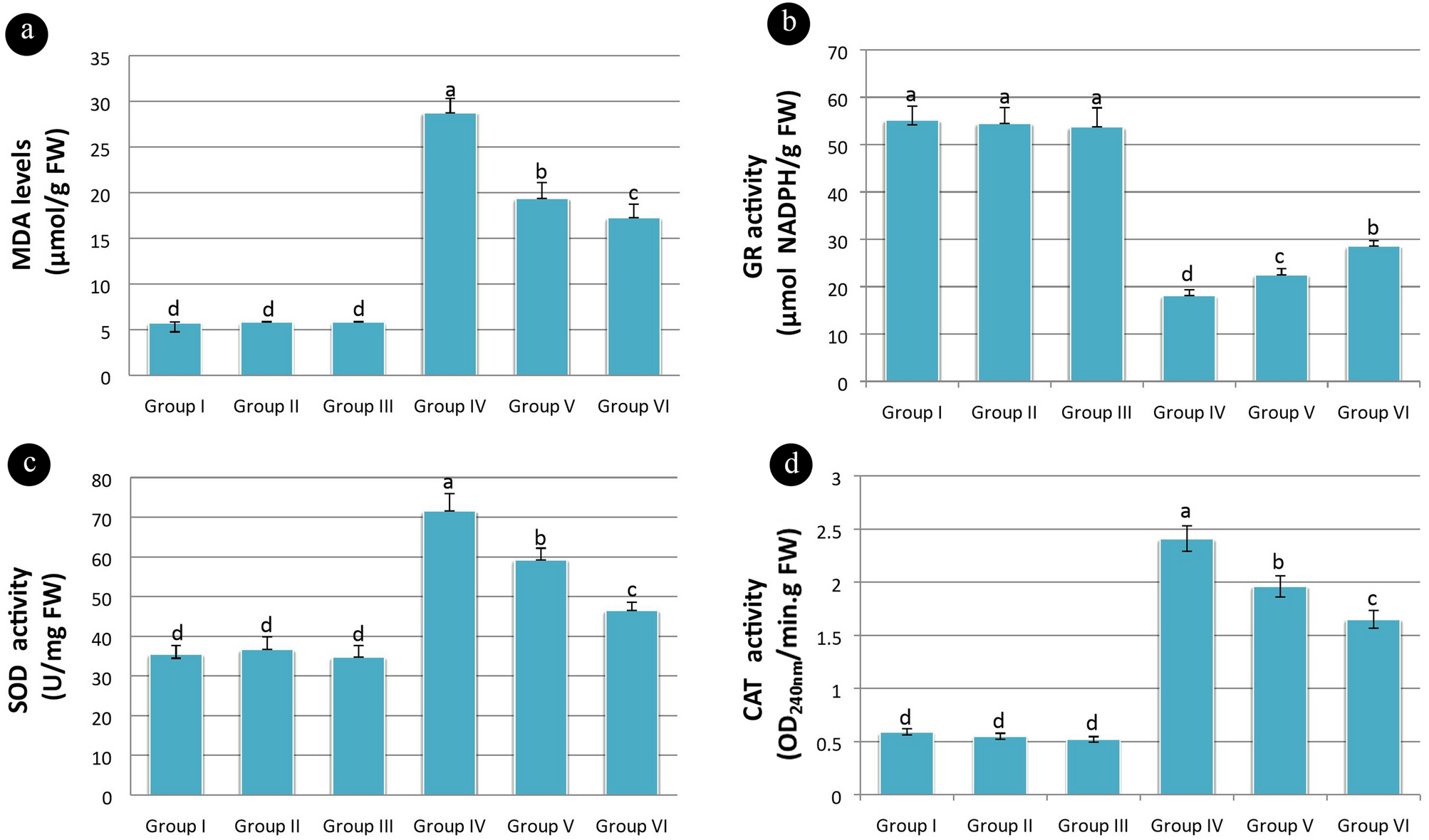
Figure 4

Effects of pendimethalin and curcumin applications on lipid peroxidation and antioxidant enzyme activities (a: MDA levels, b: GR levels, c: SOD levels d: CAT levels) [Data were shown as mean ± SEM. The averages shown with different letters in each graph are statistically significant (P < 0.05)].