Figure 5
From: Refractive index measurements of solid deuterium–tritium

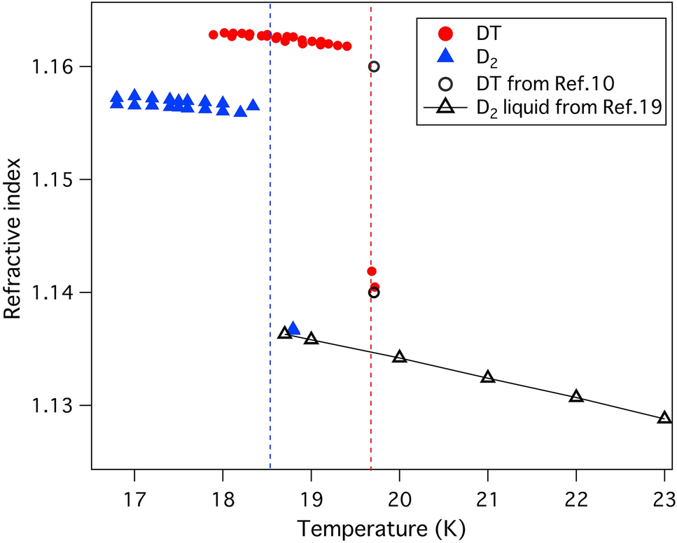
Refractive indexes of DT, D2 compared with that of liquid D2 from the empirical Eq. (3).
From: Refractive index measurements of solid deuterium–tritium

Refractive indexes of DT, D2 compared with that of liquid D2 from the empirical Eq. (3).