Figure 6
From: Anticancer and antimicrobial activity of biosynthesized Red Sea marine algal silver nanoparticles

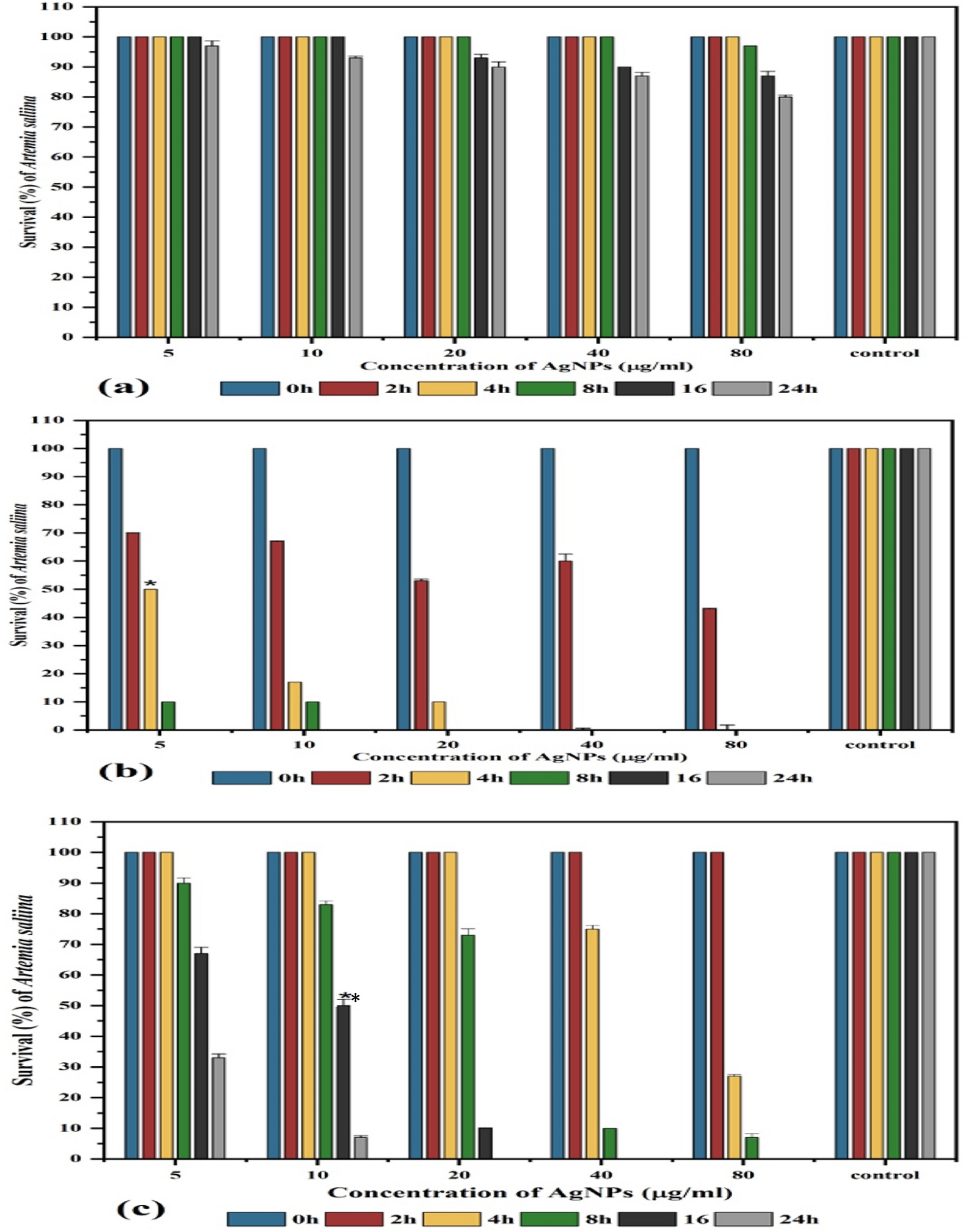
Survival (%) of Artemia salina treated with different concentrations (µg/ml) of biosynthesized AgNPs capped by different marine algal extracts, (a) U. rigida, (b) C. myrica and (c) G. foliifera, and the control (saline solution 3.2% NaCl) containing ten nauplii over 24 h. *= LC50 of C. myrica (b), **= LC50 of G. foliifera (c). Each value represents the mean of the sample ± SD (n = 3).