Figure 1
From: Quality of life score as a prognosticator for pharyngeal cancer patients treated with radiotherapy

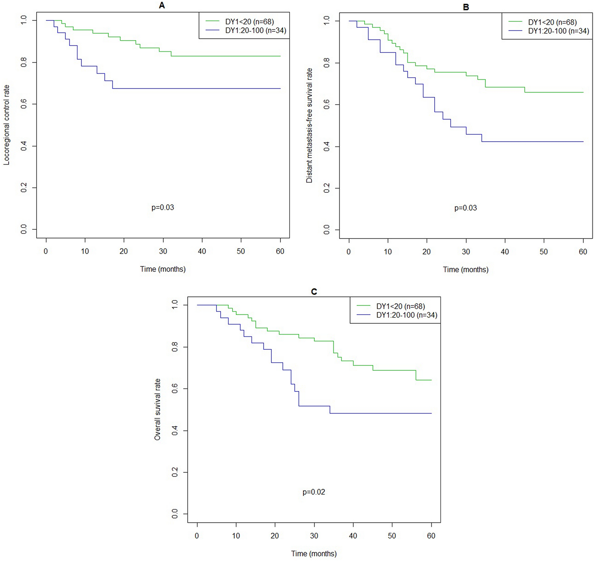
Locoregional control rate (A), distant metastasis-free survival rate (B) and overall survival rate (C) based on diarrhea score at 1 month after treatment. DY1: score for diarrhea at 1 month after treatment.