Figure 2

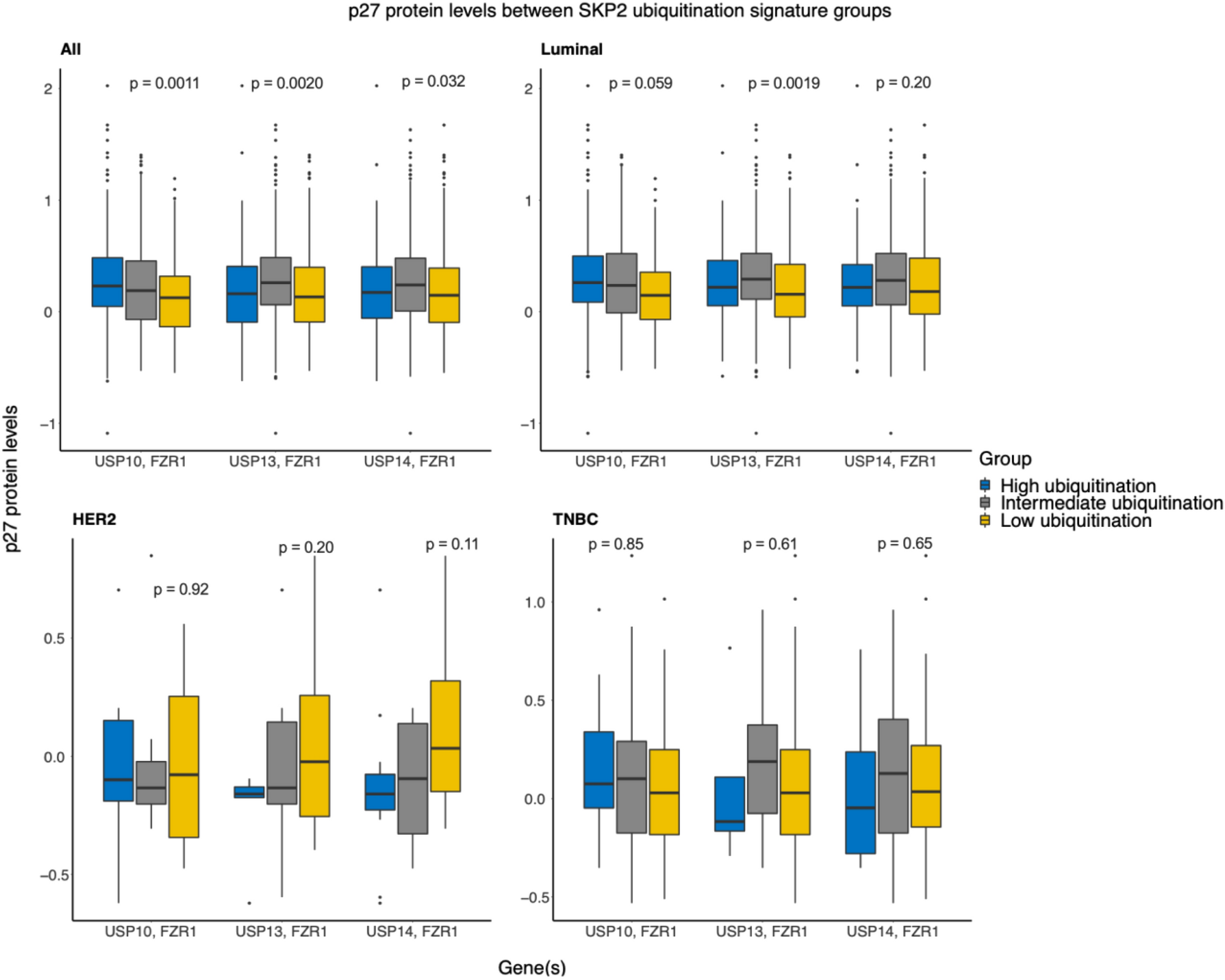
Selection of genes as SKP2 ubiquitination signature. Analyses were performed on the data set in aggregate (n = 873) and on three major subtypes separately: luminal (n = 629), HER2 (n = 36), and triple-negative BC (TNBC) (n = 92). Comparison of p27 protein levels between SKP2 ubiquitination groups as defined by our signature (copy number). Luminal BC was defined as being estrogen receptor (ER)-positive (ER+); HER2 BC was defined as being HER2-positive (HER2+) and ER- and progesterone receptor (PR)-negative (ER−, PR−); TNBC was defined as being ER−, PR−, and HER2−. Immunohistochemical staining was used to determine the status of each marker. p-values shown are for one-way ANOVA.