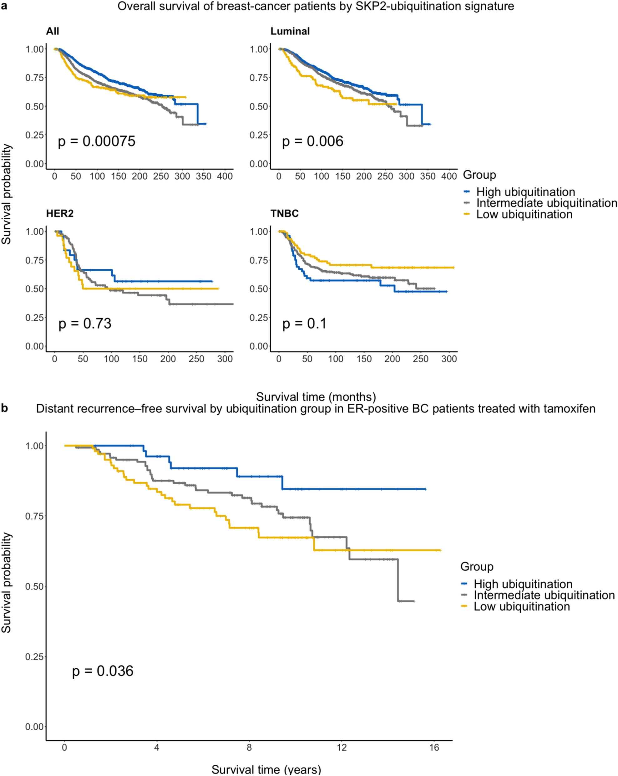
Figure 4

(a) Differences in overall survival between the SKP2 ubiquitination groups. Analyses were performed on the data set in aggregate (n = 1981) and on three major subtypes separately: luminal (n = 1527), HER2 (n = 134), and TNBC (n = 320). Subtypes are defined as in Fig. 2. The Kaplan–Meier method was used to graph the survival curves, and the log-rank test was used to calculate the significance in difference in survival between ubiquitination groups. (b) Distant recurrence-free survival differences between SKP2 ubiquitination-signature groups in ER+ BC patients treated with tamoxifen (n = 298).