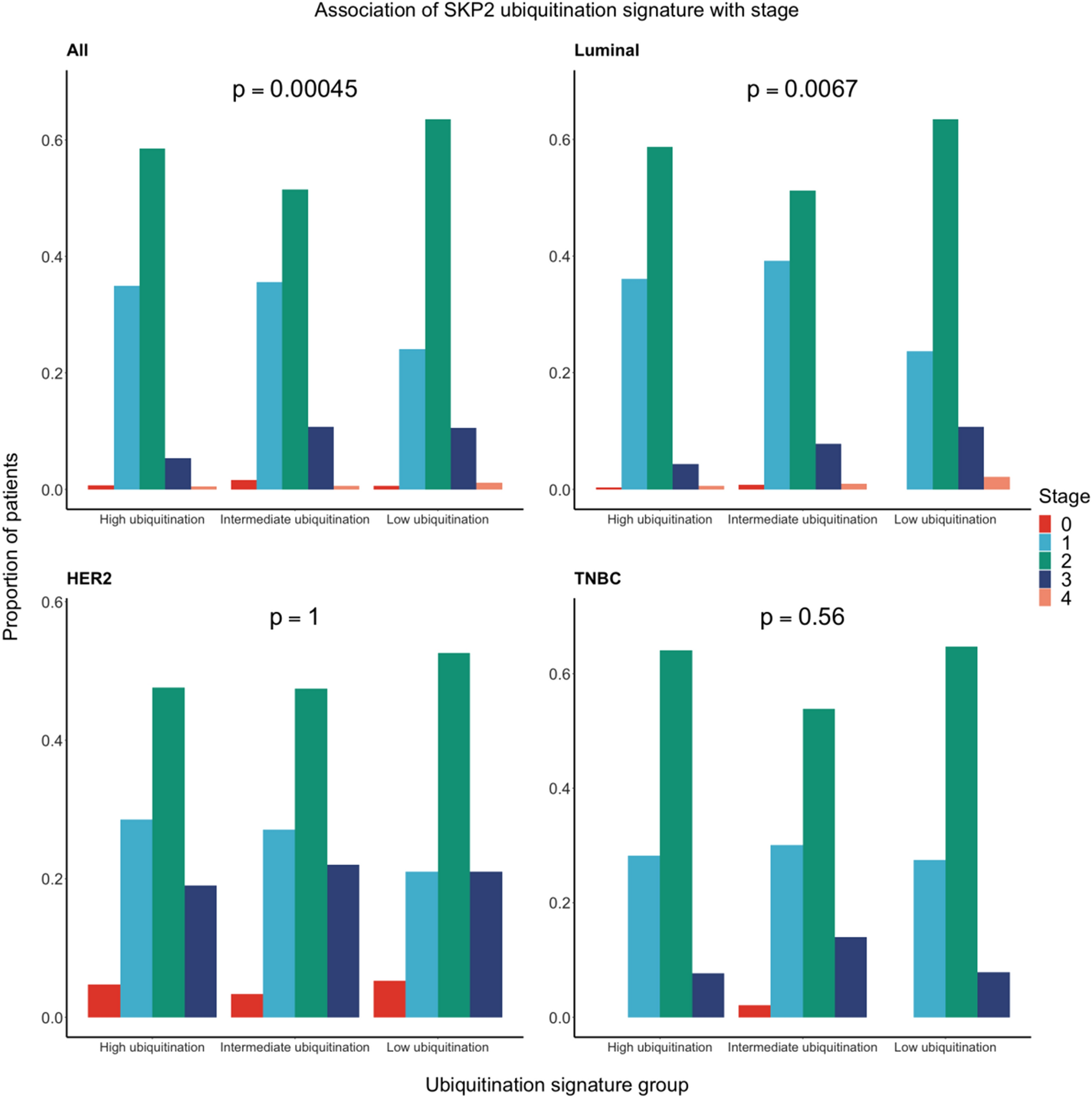
Figure 5

The distribution of patients at a given tumor stage by SKP2 ubiquitination group. Analyses were performed on the data set in aggregate (n = 1552) and on three major subtypes separately: luminal (n = 1169), HER2 (n = 99), and TNBC (n = 233). Subtypes are defined as in Fig. 2. The Chi-square test was used to determine the significance of association between ubiquitination group and tumor stage.