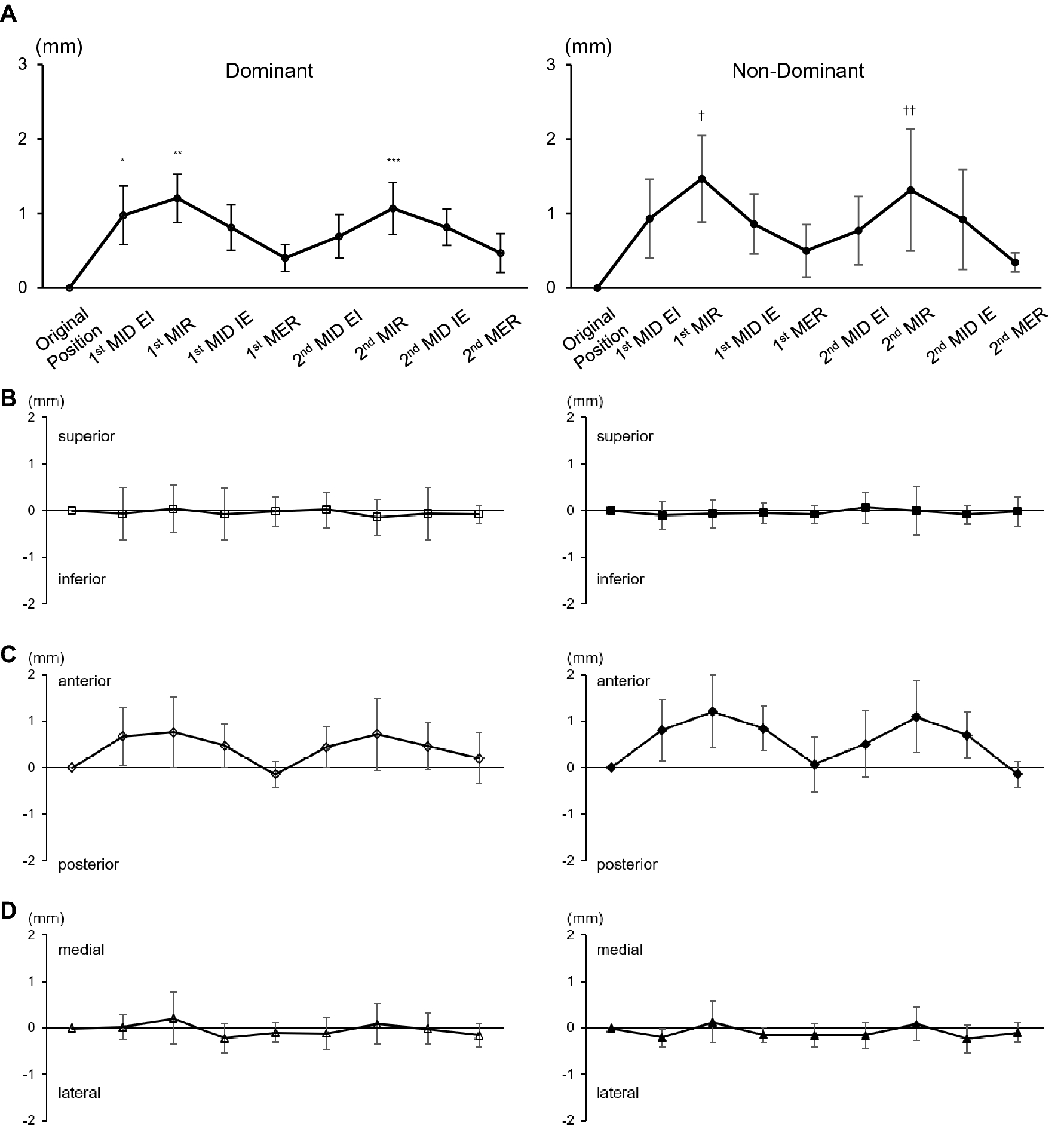
Figure 5

Distance of the center of humeral head from the original position to all other positions. (A) Absolute value of dominant shoulder and non-dominant shoulder. (B) Superior/inferior directions, (C) anterior/posterior directions, (D) medial/lateral directions. MER, maximum external rotation; MIR, maximum internal rotation; MID EI, midpoint from MER to MIR; MID IE, midpoint from MIR to MER. *P = 0.0141 vs 1st MER, 0.0316 vs 2nd MER, **P = 0.0001 vs 1st MER, 0.0003 vs 2nd MER, ***P = 0.0024 vs 1st MER, 0.0059 vs 2nd MER, †P = 0.0250 vs 1st MER, 0.0050 vs 2nd MER, ††P = 0.0241 vs 2nd MER.