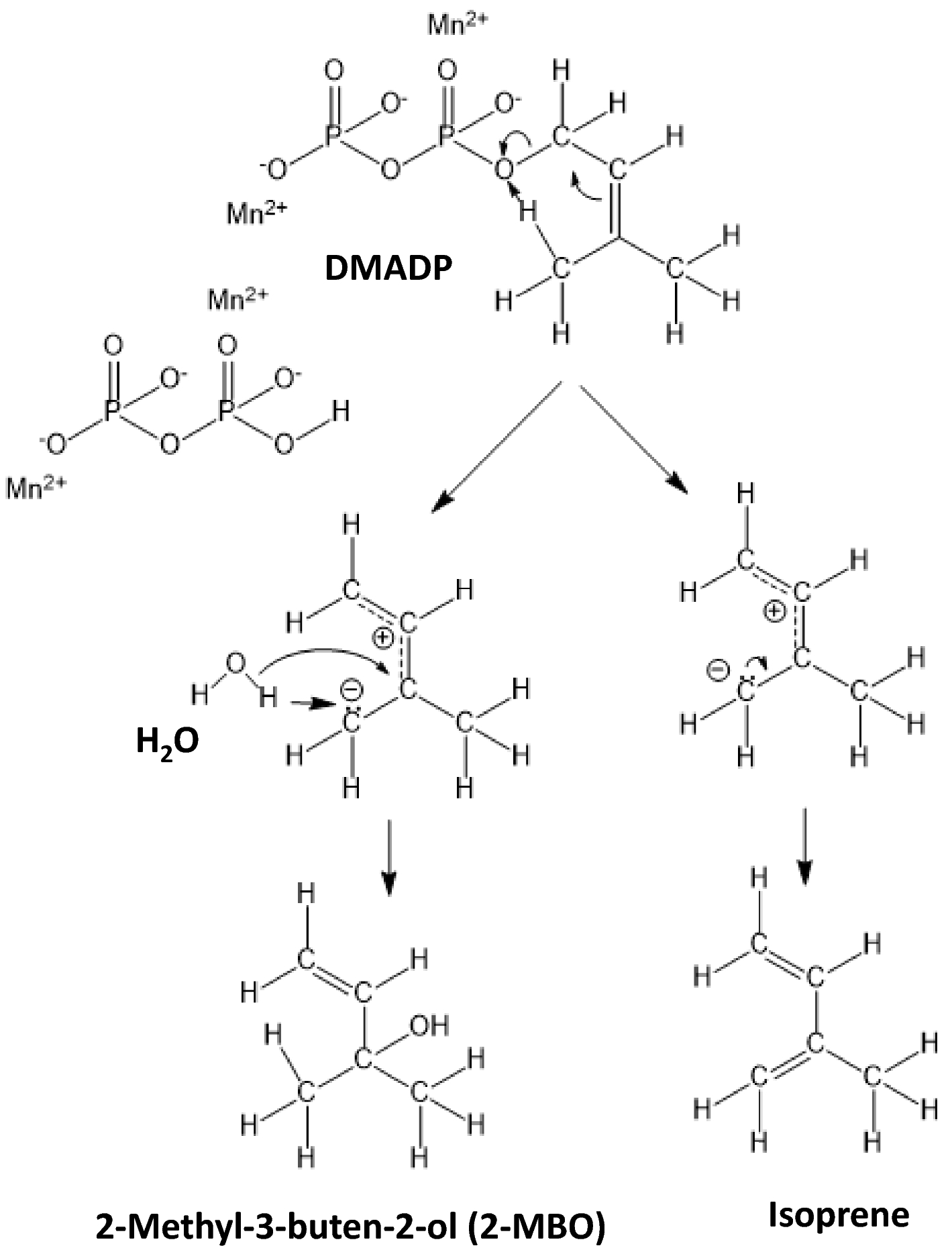
Figure 7
From: Non-enzymatic formation of isoprene and 2-methyl-3-buten-2-ol (2-MBO) by manganese

Reaction mechanism of the formation of isoprene and 2-MBO from DMADP. The formation reaction is initiated by the deprotonation of hydrogen on allyl carbon (H7, H8, and H9 in Fig. 7) by phosphate oxygen (O3). It generates carbocation and allyl anion intermediate followed by quenching to produce isoprene or by hydroxyl addition (SN1 reaction) to form 2-MBO.