Figure 7

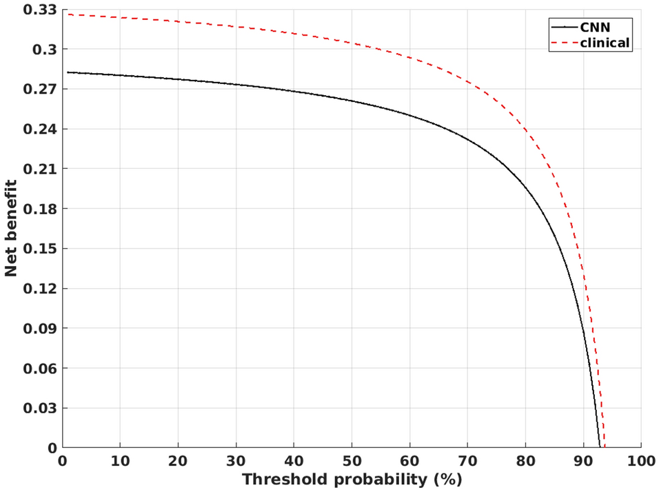
Decision curve with net benefit for all threshold probabilities from 0 to 100% for CNN median over 100 runs and the clinical interpretation using the test data. Only positive values in the range of 0 to 1 for the net benefit are shown.

Decision curve with net benefit for all threshold probabilities from 0 to 100% for CNN median over 100 runs and the clinical interpretation using the test data. Only positive values in the range of 0 to 1 for the net benefit are shown.