Figure 2
From: Quantifying fish otolith mineralogy for trace-element chemistry studies

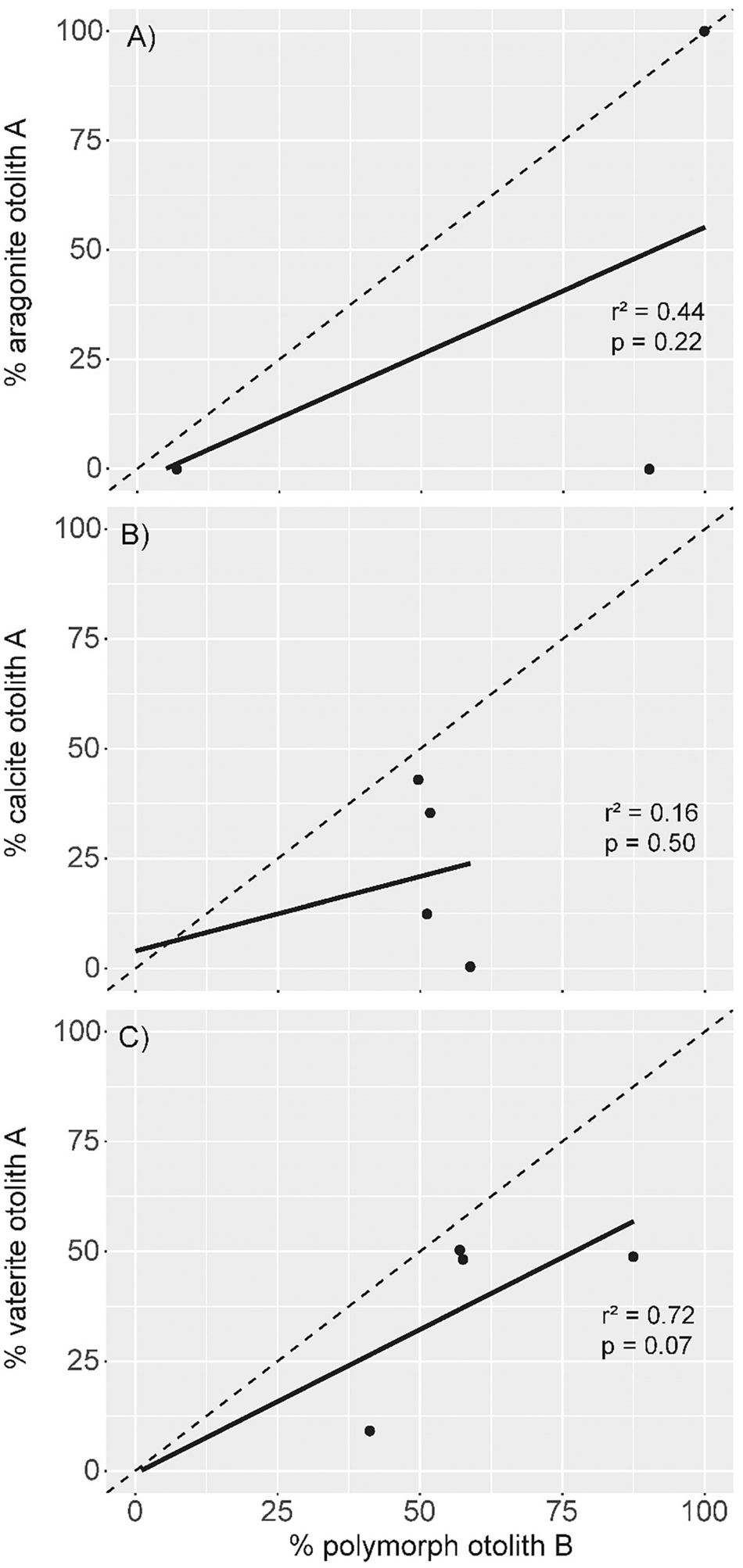
Scatterplot depicting the by-weight percentage of each polymorph in a pair of otoliths for aragonite (top panel), calcite (middle panel), and vaterite (bottom panel). The solid line represents the least-squares regression line for the samples and the dashed line represents the 1:1 line that would depict the regression line for the samples if ‘A’ and ‘B’ otoliths had identical polymorph composition. Each panel also contains r2 and associated p-values values for regression between ‘A’ and ‘B’ otoliths for each polymorph.