Figure 9

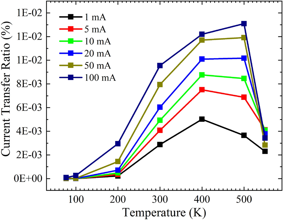
The output current of the fabricated LTCC based optocoupler is plotted as a function of the input current for different temperatures.

The output current of the fabricated LTCC based optocoupler is plotted as a function of the input current for different temperatures.