Figure 4
From: Physicochemical and biological analysis of river Yamuna at Palla station from 2009 to 2019

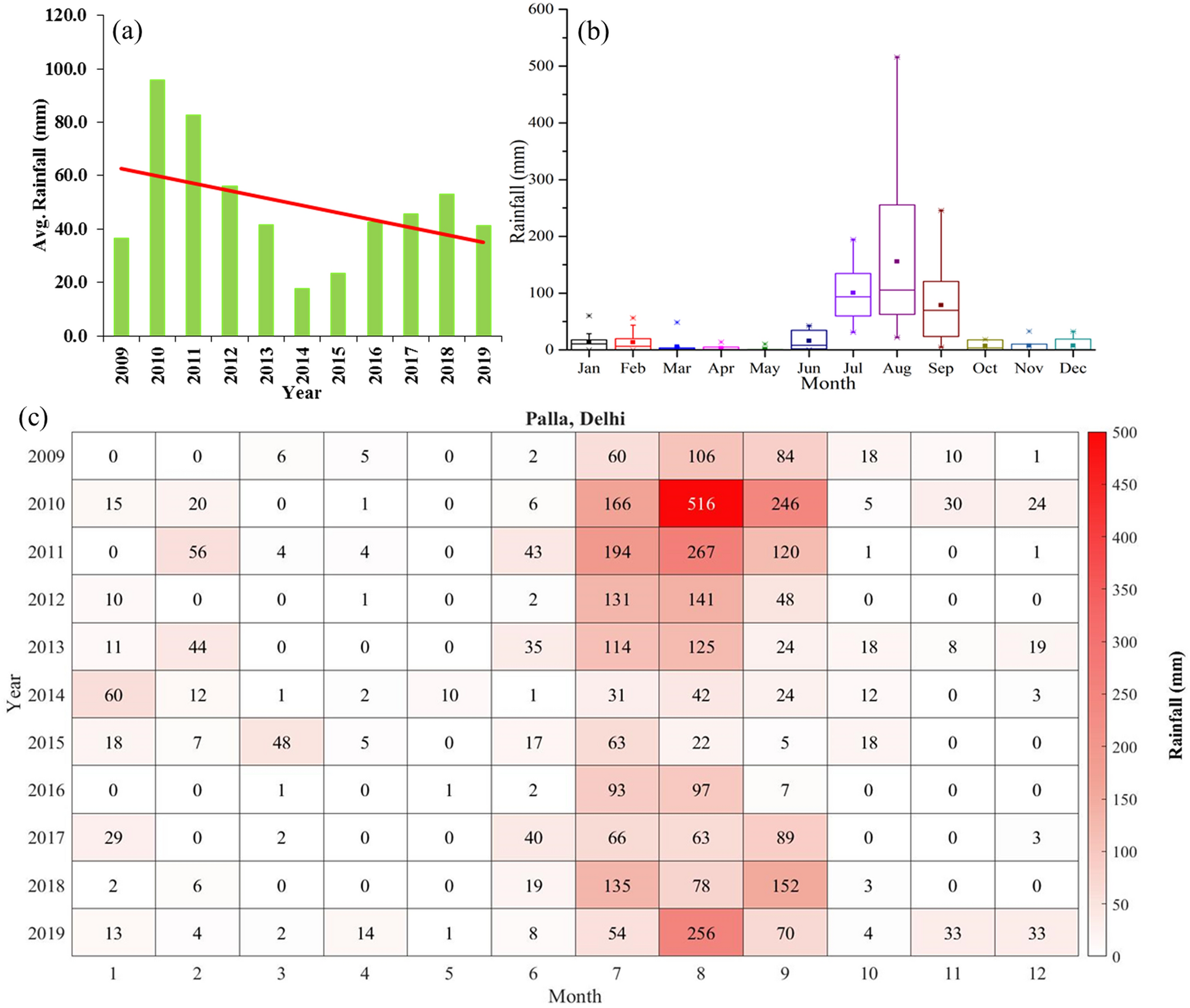
(a) Yearly mean rainfall at Palla station and adjacent region from 2009 to 2019. The red line shows a linear trend of rainfall. (b) Rainfall monthly distribution at Palla station from 2009 to 2019. (c) Monthly mean variation of rainfall from 2009 to 2019.