Figure 14
From: Strength deterioration mechanism of bentonite modified loess after wetting–drying cycles

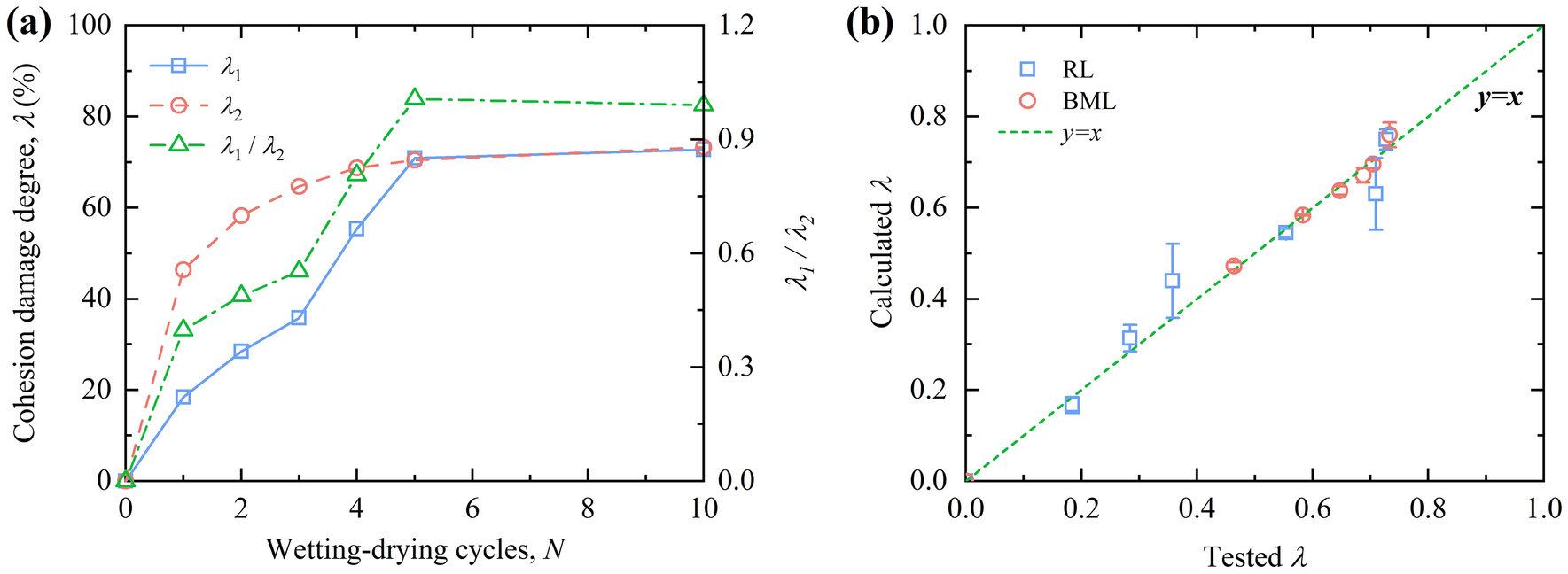
Comparison of cohesion damage degree and model results.
From: Strength deterioration mechanism of bentonite modified loess after wetting–drying cycles

Comparison of cohesion damage degree and model results.