Figure 9
From: Strength deterioration mechanism of bentonite modified loess after wetting–drying cycles

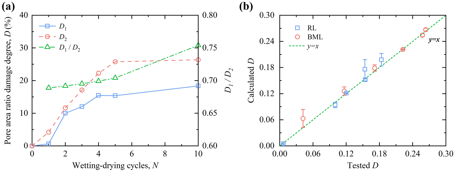
Comparison of pore area ratio damage degree and model results.
From: Strength deterioration mechanism of bentonite modified loess after wetting–drying cycles

Comparison of pore area ratio damage degree and model results.