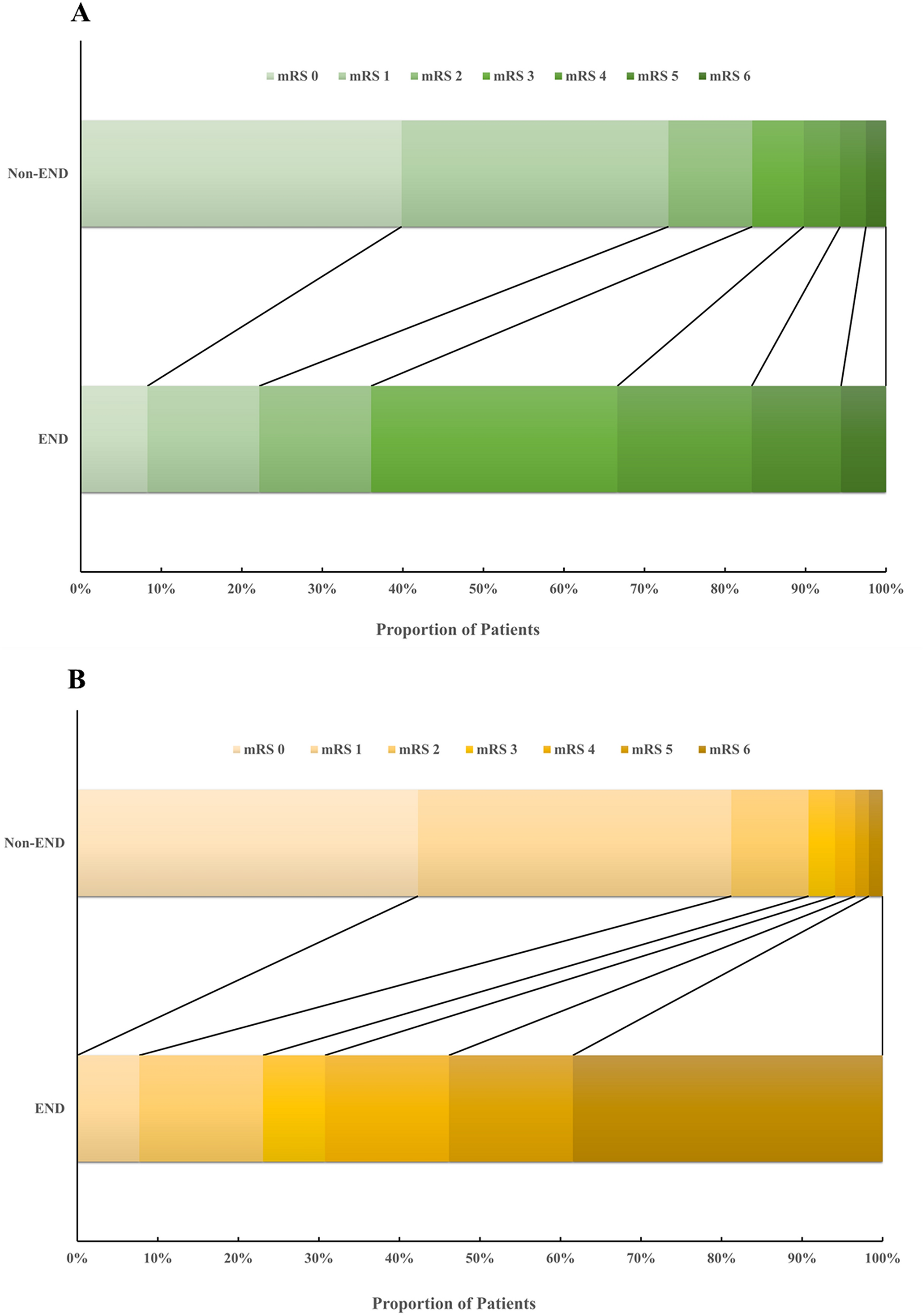
Figure 3

The 90-day mRS distribution in thrombolytic patients with Non-END vs END. (A) 90-day mRS distribution in anterior circulation stroke. (B) 90-day mRS distribution in posterior circulation stroke. END early neurological deterioration, mRS modified ranking scale.