Figure 3
From: Public communication can facilitate low-risk coordination under surveillance

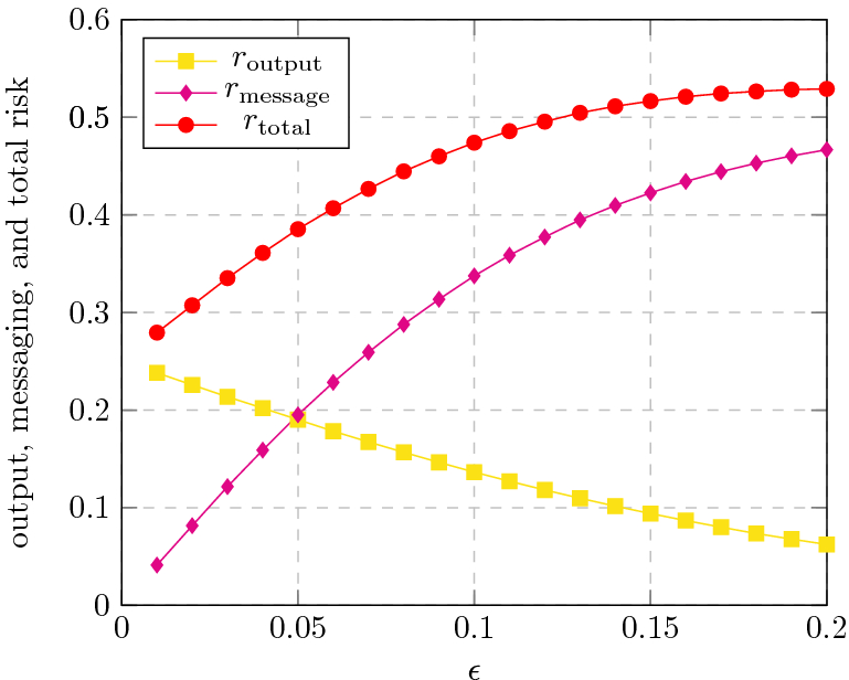
Private communication: The risk of the Quorum-Sensing protocol. The magenta plot depicts the message risk \(r_\text {message}\) incurred by a rebel running the Quorum-Sensing protocol in the private communication model, when facing the Reverse police protocol. See more details in “Methods”. As in Fig. 2, the output risk \(r_\text {output}\) (yellow plot) denotes the percentage of rebels which output “many” when \(\rho =0.2\) (i.e, “few rebels”), and \(r_\text {total}\) (red plot) is simply the sum of \(r_\text {output}\) and \(r_\text {message}\). The simulations should be compared with the simulations shown in Fig. 2b.