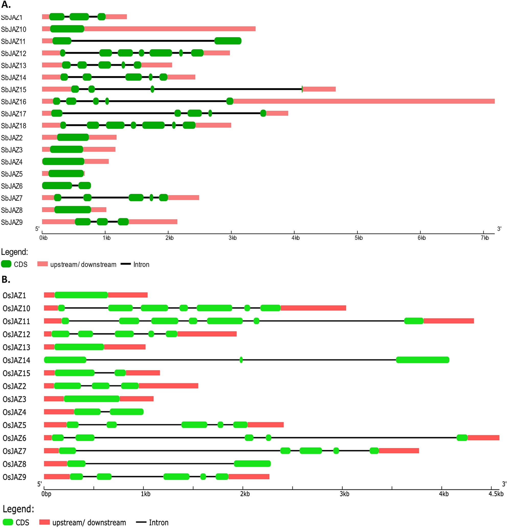
Figure 3

The schematic genomic structure for each SbJAZ gene (A) and OsJAZ (B) was generated using gene structure display server (GSDS). The size of coding DNA sequence (CDS), introns and untranslated regions are proportional to their sequence lengths.