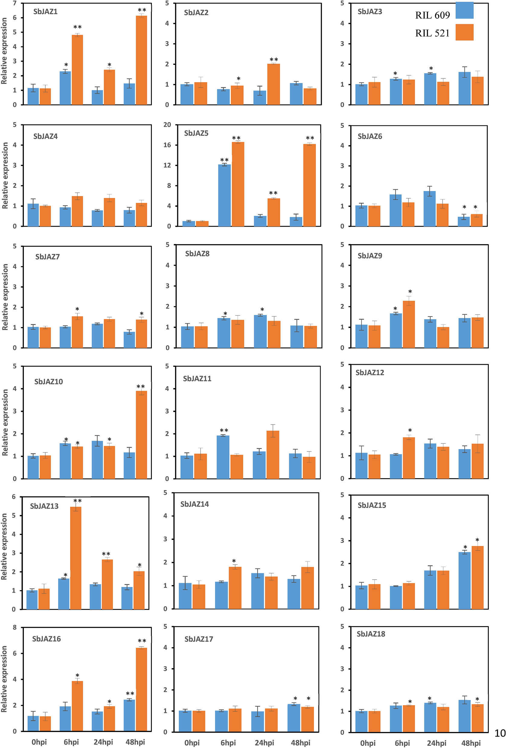
Figure 9

Expression pattern of 18 SbJAZ genes in response to sugarcane aphid infestation in in resistant (RIL 521) and susceptible (RIL 609) RILs to SCA. qRT-PCR was used to determine the relative expression of each SbJAZ gene, and the relative expression was estimated using the 2−ΔΔCt method. Error bars in each bar represent the ± standard error (n = 3) and asterisks indicate significant differences between the control and phytohormone treated samples, *P < 0.05, **P < 0.01. The bars without asterisk, are non-significant (P > 0.05).