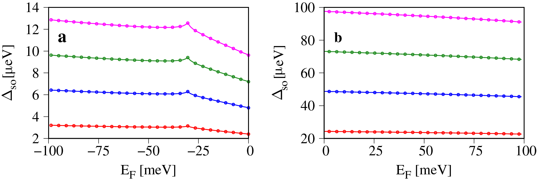
Figure 3

Fermi contour averaged spin splitting versus Fermi level for several values of the external electric field E, and for: (a) the top most valence band; (b) the bottom most conduction band. The Fermi level is measured with respect to the valence (conduction) band maximum (minimum).