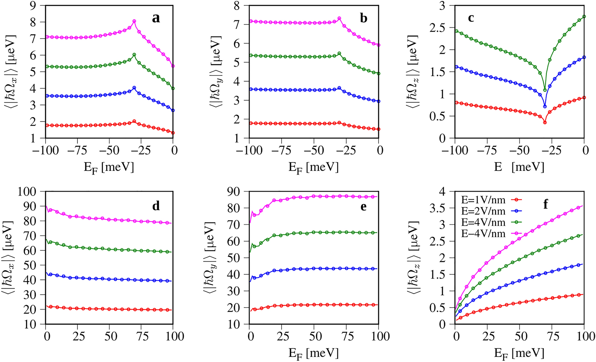
Figure 4

Fermi contour averaged components of the spin–orbit field \(\hbar \Omega\) versus the position of Fermi level \(E_F\) and for several values of electric field E. Panels (a–c) show the x, y, and z components of \(\pmb {\Omega }\) for the valence band respectively; (d–f), same as (a–c) but for the conduction band. The Fermi energy is measured with respect to the valence (conduction) band maximum (minimum).