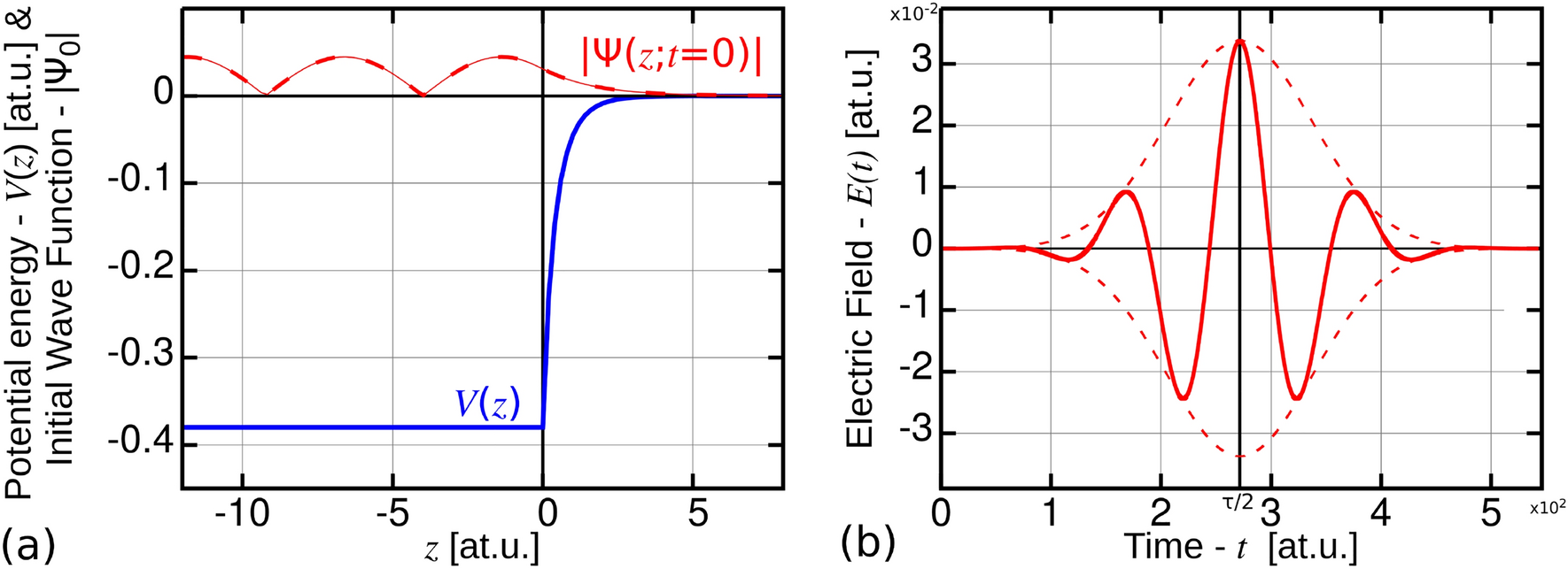
Figure 1
From: Ultrafast plasmonic photoemission in the single-cycle and few-cycle regimes

(a) The potential energy of the electron inside the electron bulk at the Fermi-level (lower blue curve) and its wavefunction’s absolute value (upper red curve). (b) The electric component of a \(\lambda =800\) nm laser pulse having \(n_{\mathrm {OC}}=2\) optical cycles in the FWHM of peak intensity (\(\tau = 5.5\) fs = 543 at.u.; note that the time and electric field axis have units of \(10^2\) and \(10^{-2}\), respectively).