Figure 5
From: Characterization technique of gases permeation properties in polymers: H2, He, N2 and Ar gas

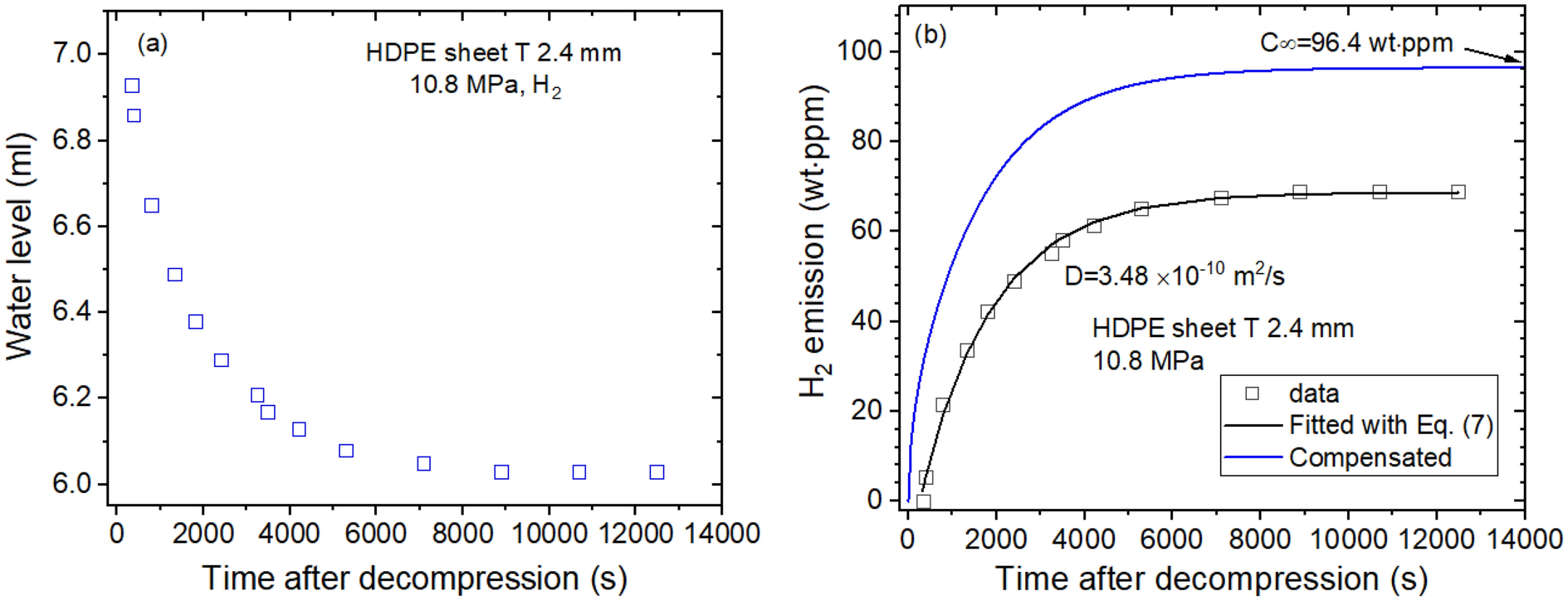
Sequence for obtaining the diffusion parameter in the HDPE sheet. (a) Water level versus time after decompression and (b) time-varying H2 mass concentration transformed from the water level. As a result of the experimental investigation, the diffusion parameters D and C∞ are determined using a diffusion analysis program. The blue line is the total compensated emission curve restoring the missing content for lag time. T indicates the thickness of the sheet specimen.