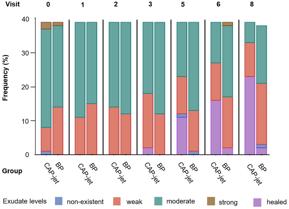
Figure 6

Exudate levels over time. Values of the patient in the BP group who was transferred to another hospital after v 6 are missing in v 8.

Exudate levels over time. Values of the patient in the BP group who was transferred to another hospital after v 6 are missing in v 8.