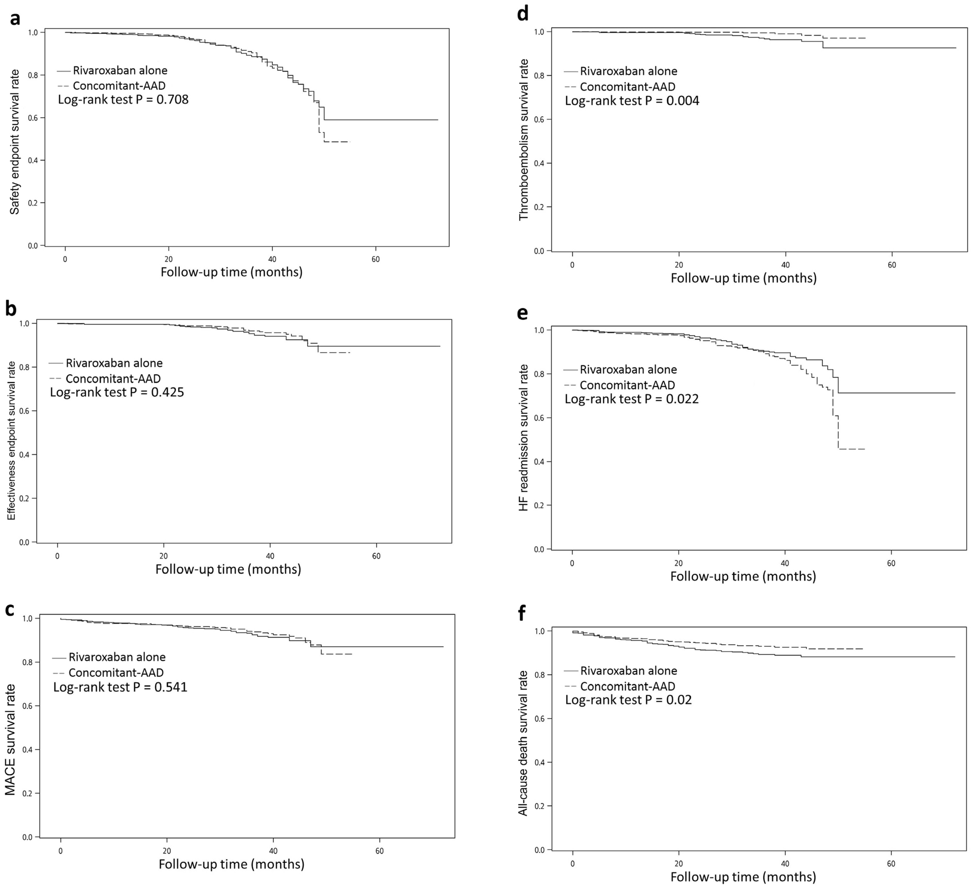
Figure 2

Survival rates for: (a) safety endpoint (composite of major bleeding and minor bleeding); (b) effectiveness endpoint (composite of stroke and systemic thromboembolism); (c) MACE; (d) thromboembolism; (e) HF readmission; (f) all-cause death. MACE major adverse cardiac events, HF heart failure