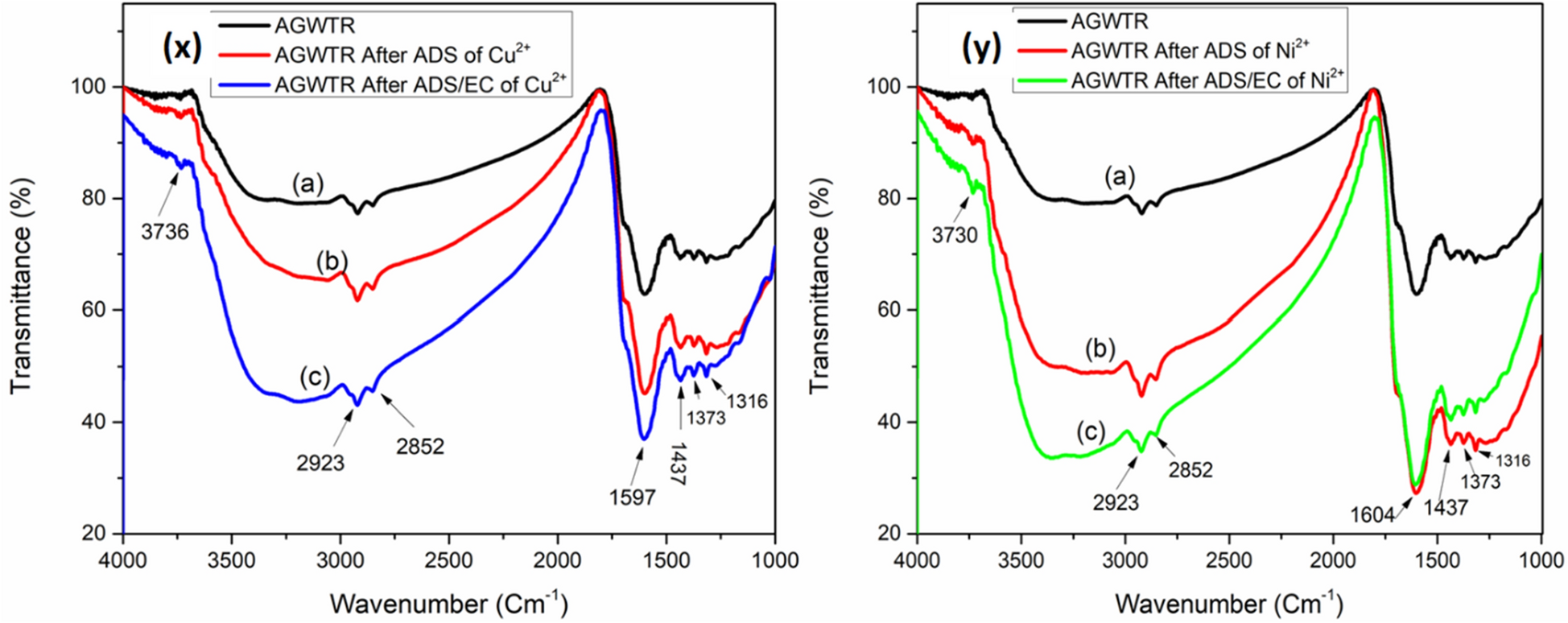
Figure 3

FT-IR spectroscopy characterization of activated green waste tea: (X) (a) AGWTR before adsorption, (b) AGWTR after adsorption of Cu2+ and (c) AGWTR after ADS/EC of Cu2+. (Y) (a) AGWTR before adsorption, (b) AGWTR after adsorption of Ni2+ and (c) AGWTR after ADS/EC of Ni2+.