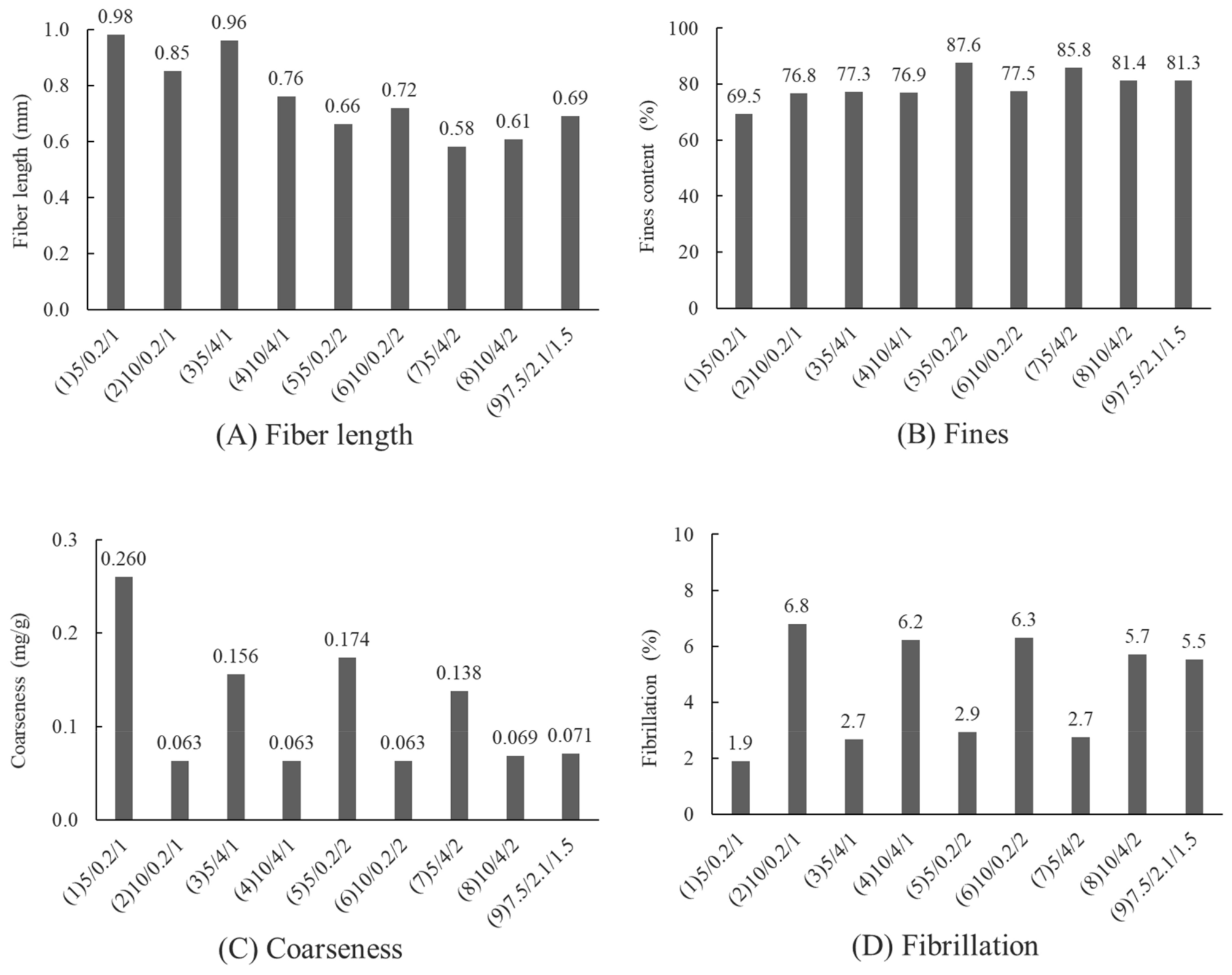
Figure 2

Effects of different treatment groups of rice straw semi-chemical mechanical pulp on fiber length (A), fines (B), coarseness (C) and degree of fibrillation (D).

Effects of different treatment groups of rice straw semi-chemical mechanical pulp on fiber length (A), fines (B), coarseness (C) and degree of fibrillation (D).