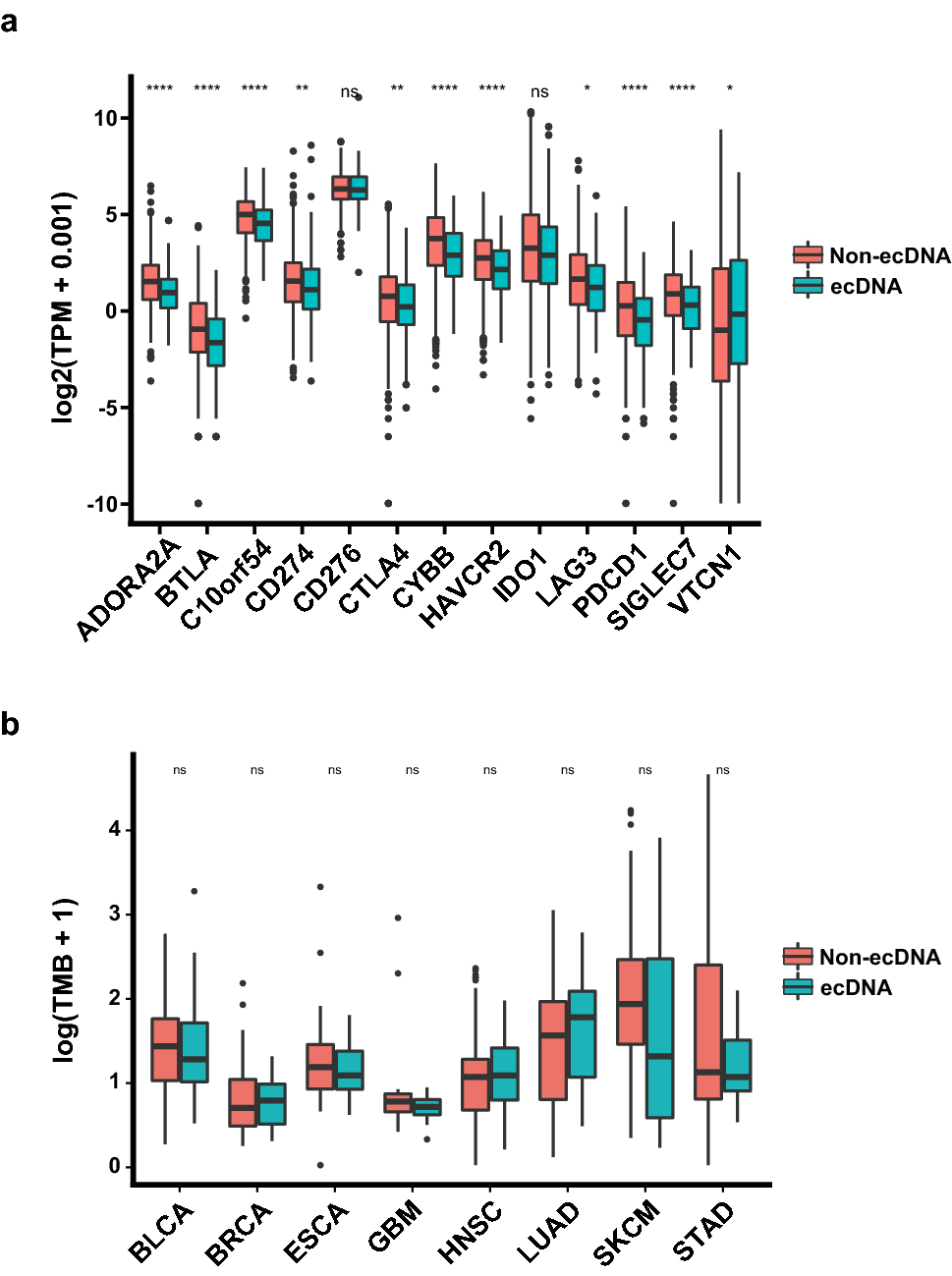
Figure 4

ecDNA and expression of inhibitory immune checkpoint genes and TMB. (a) Expression of inhibitory immune checkpoint genes in tumors with ecDNA and without ecDNA. Wilcoxon test P values are shown. (b) Tumor mutation burden (TMB) difference in different types of tumors with and without ecDNA. Wilcoxon test P values are shown. ns: P > 0.05, *: P ≤ 0.05, **: P ≤ 0.01, ***: P ≤ 0.001, ****: P ≤ 0.0001. TCGA cancer type acronyms: STAD (stomach adenocarcinoma), SKCM (skin cutaneous melanoma), HNSC (head and neck squamous cell carcinoma), LUAD (lung adenocarcinoma), BLCA (bladder urothelial carcinoma), BRCA (breast invasive carcinoma), ESCA (esophageal carcinoma), GBM (glioblastoma multiforme).