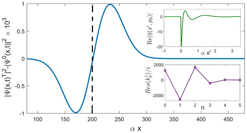
Figure 5

The difference between the probability densities of a free wave packet, \(\underline{p}_0=0.5\), \(\Delta \underline{p}=0.1\), \({\underline{x}}_0=-100\), \(\underline{t}=650\) and one transmitted across a shallow Eckart well with \(s=5\) \((\underline{U_0}=-15)\). The COM of the transmitted wave packet is advanced by \(\delta x_{COM}(t) = 4.0768\) relative to the COM of a freely propagating one (vertical dashed). Also shown in the insets are the real part of \(\overline{\eta }(p_0,x')\) in Eq. (26), and the residues of the five poles, which contribute to Eq. (35).