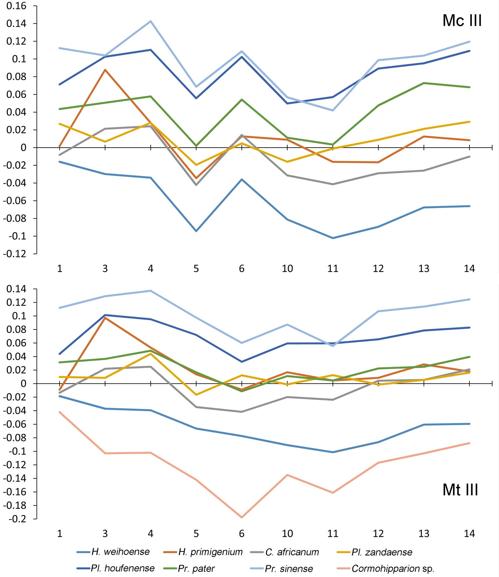
Figure 2
From: Hippotherium Datum implies Miocene palaeoecological pattern

Ratio diagrams of metapodials of H. weihoense and other equids. Measurement numbers: 1, maximal length; 3, minimal breadth; 4, depth of the shaft; 5, proximal articular breadth; 6, proximal articular depth; 10, distal maximal supra–articular breadth; 11, distal maximal articular breadth; 12, distal maximal depth of the keel; 13, distal minimal depth of the lateral condyle; 14, distal maximal depth of the medial condyle. The y axis is the logarithm (base 10) of ratios between the measurements of each species and the reference species (Asiatic wild ass Equus hemionus onager, zero line) (generated with Microsoft Excel version 2010 by B. Sun).