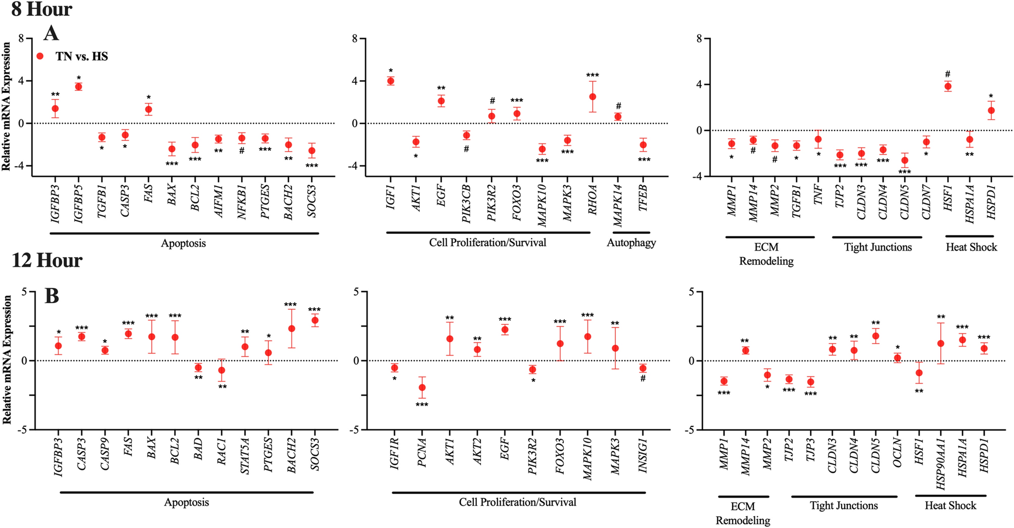
Figure 1

Main effect of temperature. Gene expression of primary bovine mammary epithelial cells (pBMEC) after 8- or 12-h incubation at thermoneutral (37 °C, TN) or heat shock (41.5 °C, HS) culture conditions. Data is presented as relative mRNA expression (∆∆Ct = ∆Ct TN (CON) − ∆Ct HS)) ± standard error of the mean (SEM). Differentially expressed genes are grouped by biological function. After 24-h incubation at HS conditions, 9 genes (PTGES, 5-HT2C, ATG3, AKT1, PIK3R2, PRKACA, TNF, CLDN1, OCLN) were differentially expressed, relative to TN (graph panel not shown). Positive and negative ∆∆Ct indicates gene upregulation and downregulation, respectively. Significance declared at (*) P value ≤ 0.05, (**) P value ≤ 0.001 (***) P value ≤ 0.0001 and (#) denotes a statistical tendency at 0.05 < P value ≤ 0.10.