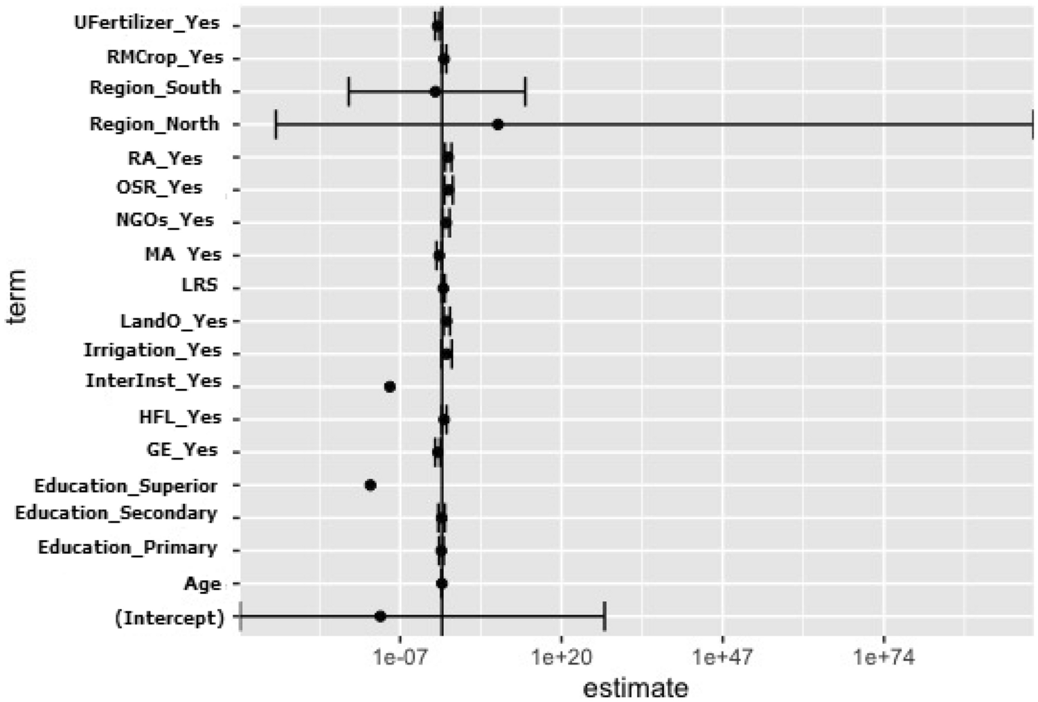
Figure 4

Graphical representation of odds ratios. Ufertilizer: use of fertilizer, RMcrop: rice as main crop, RA: crop diversification, OSR: off-season rice, MA: Membership of association, LRS: land size under rice cultivation, LandO: land ownership, INterInst: contact with international institution, HFL: hired farm labour, GE: contact with government extensions.