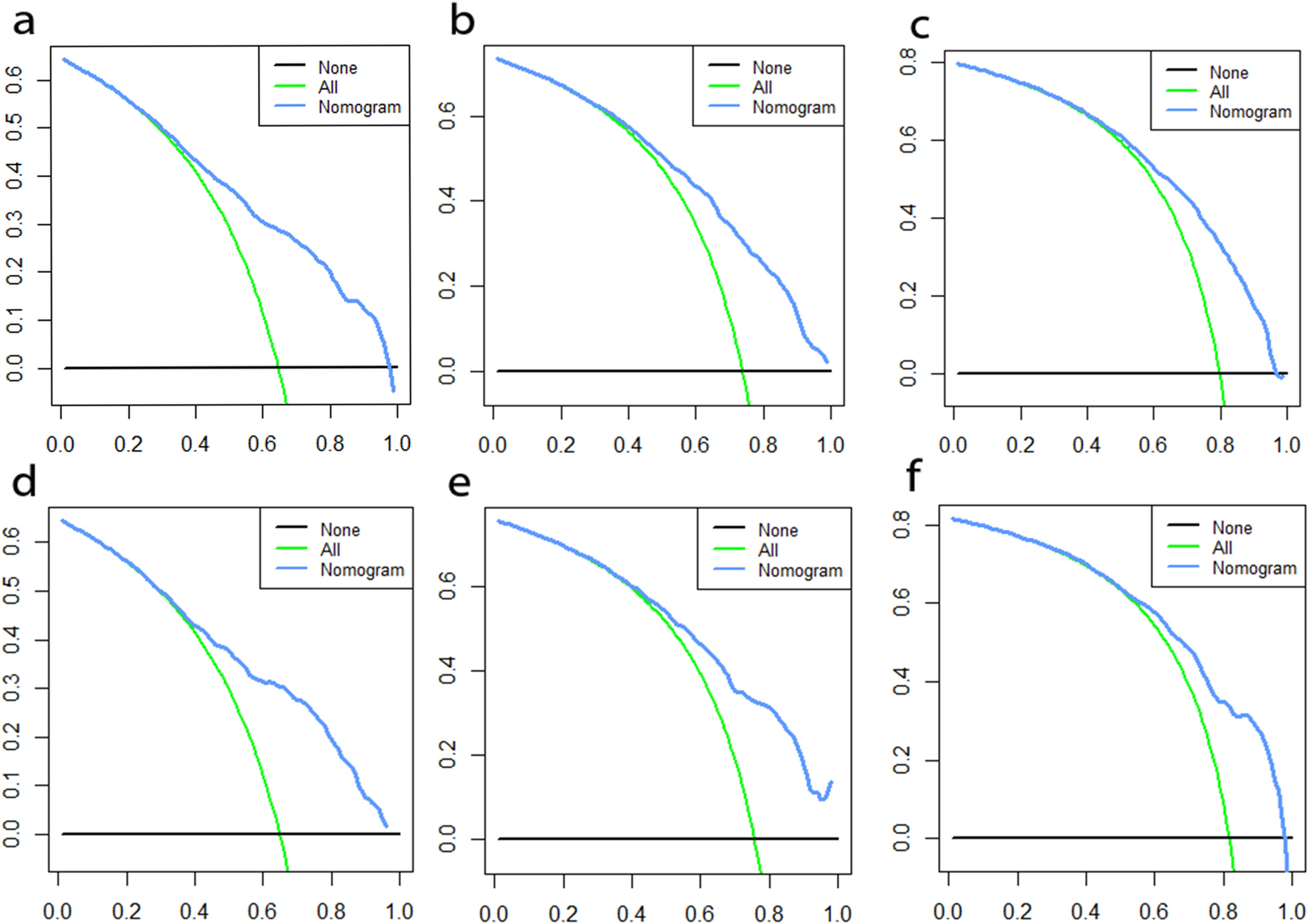
Figure 5

DCA of the nomogram for the survival prediction of NSCLC patients with liver metastases.6-months (a), 9-months (b), 12-months (c) survival benefit in the training group. 6-months (d), 9-months (e), 12-months (f) survival benefit in the validation group. The green curve represents the assumption that all patients will expire, while the blue curve indicates the net benefit of the nomogram model by summing the true positives and subtracting the false positives.