Figure 1
From: Functional representativeness and distinctiveness of reintroduced birds and mammals in Europe

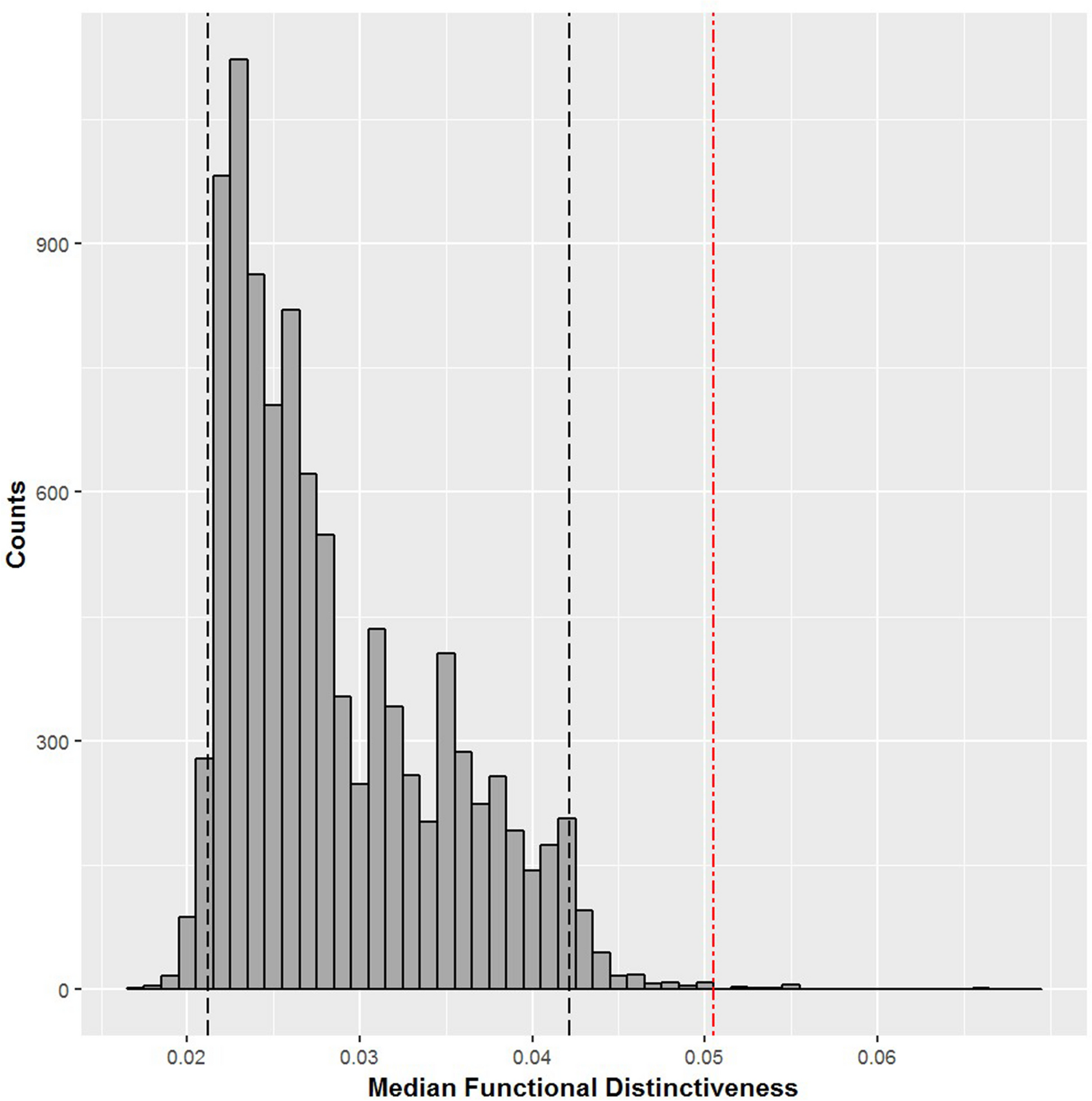
The null distribution of the median Functional Distinctiveness for 28 mammal species randomly drawn from the functional tree of European terrestrial mammals (10,000 samples). Black dashed lines represent the 95% CI interval (i.e. [0.0212, 0.0421]), and the red dashed line represent the observed median FDist value for reintroduced mammals (median FDistreint = 0.0505, p-value < 0.001).