Figure 3
From: Mathematical modeling of metal recovery from E-waste using a dark-fermentation-leaching process

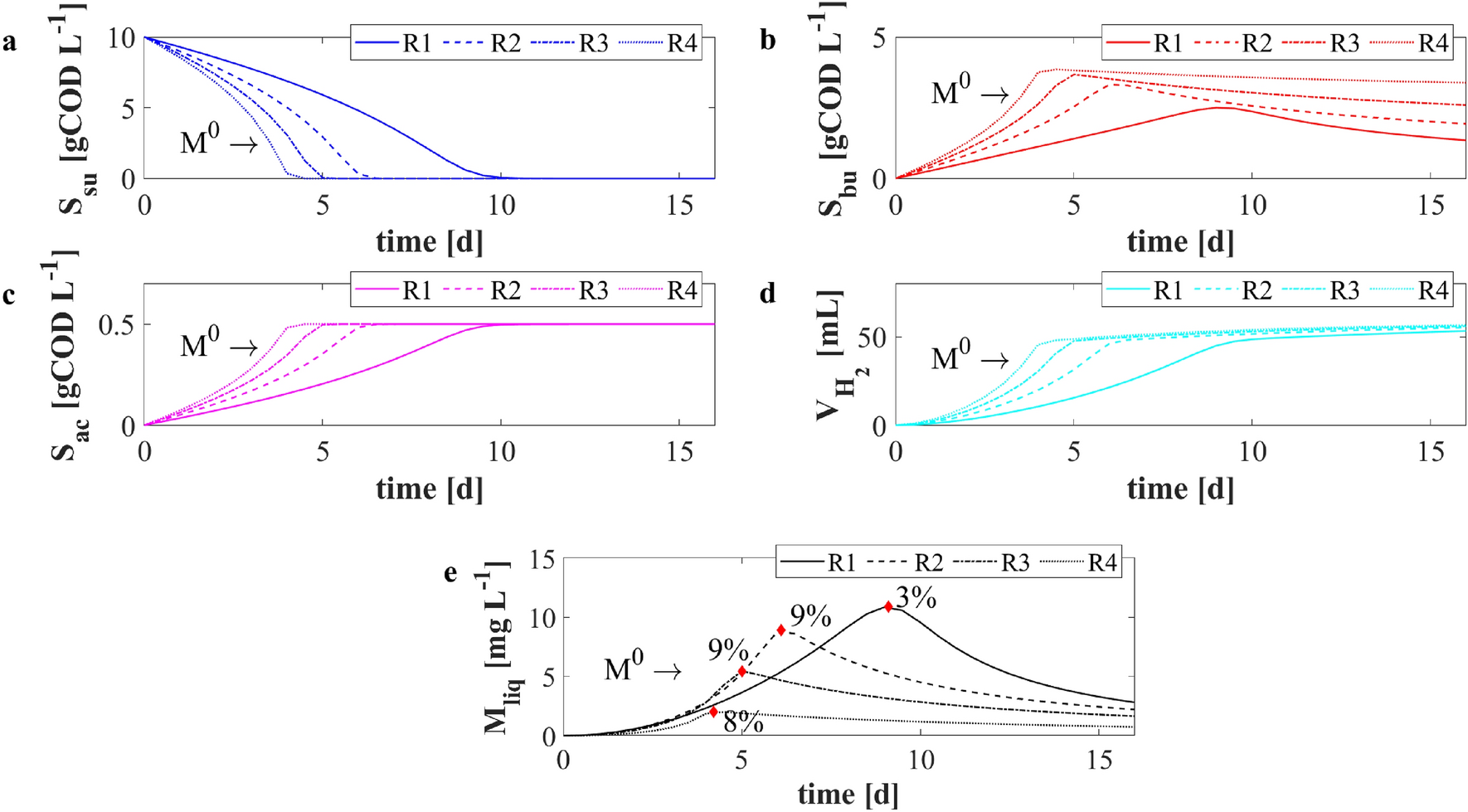
NS1—Evolution over time of simulated values of glucose \(S_{su}\) (a), butyric acid \(S_{bu}\) (b), acetic acid \(S_{ac}\) (c) concentrations, cumulative hydrogen production \(V_{H_2}\) (d), and concentration of metal in solution \(M_{liq}\) (e) for different initial concentrations of metal \(M^0\). R1: \(M^0={6.5}\,\hbox {g L}^{-1}\); R2: \(M^0={3}\,\hbox {g L}^{-1}\); R3: \(M^0={1.5}\,\hbox {g L}^{-1}\); R4: \(M^0=0.5\,\hbox {g L}^{-1}\). Initial concentration of sugar and sugar fermenters: \(S^0_{su} =10\,\hbox {gCOD L}^{-1}\) and \(X^0_{su} =5\,\hbox {gCOD L}^{-1}\). Red rhombus represents the maximum removal efficiency.