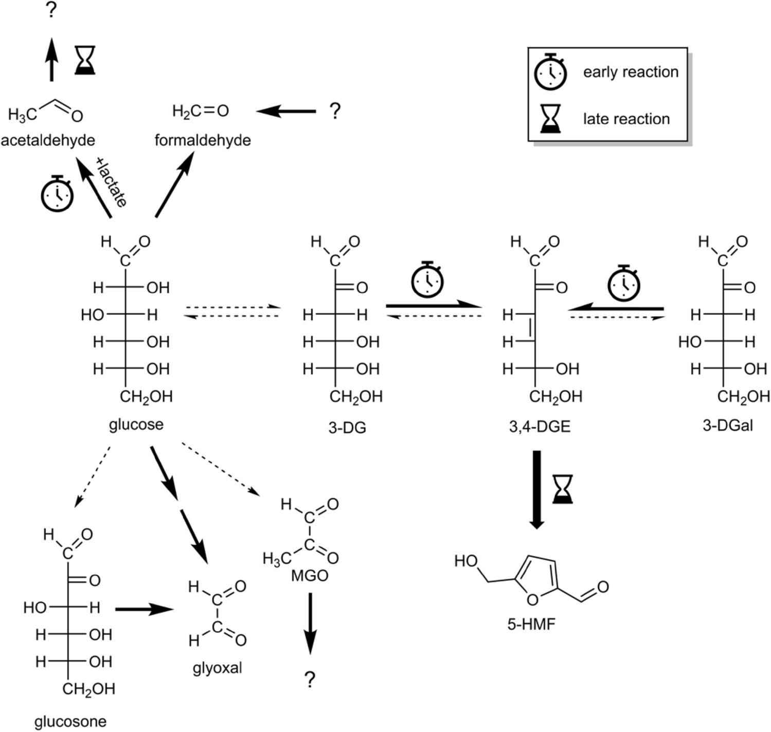
Figure 5

Mechanistic interpretation of changes of the GDP profile in single-chamber PDFs during storage. Reactions leading to changes in the GDP profile are marked with bold arrows; reactions marked with dashed arrows are either not favored during storage or are overcompensated by other reactions and, therefore, do not lead to changes of the GDP profile. Early reactions predominate during short-term storage, whereas late reactions predominate during longer storage periods.