Figure 7
From: MiR-206 conjugated gold nanoparticle based targeted therapy in breast cancer cells

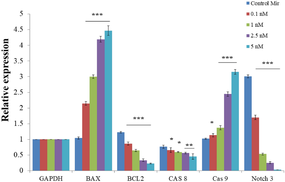
Determining Relative Expression of genes in MCF-7 cells after exposed to various concentration of MiRNA–PEG–Au NPs for 24 h using RT-qPCR. GAPDH was considered as endogenous control while expressions of BAX, BCL2, Caspase 8, 9 and Notch 3 were studied due to increase in mitochondrial membrane potential and NOTCH 3 being directly associated with miRNA 206. Values represents mean ± S.E. of three independent experiments (*p < 0.05, **p < 0.001).