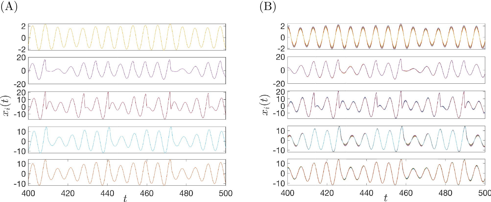
Figure 3

Dynamics of Rössler oscillators coupled according to the synthetic network in Fig. 2 : (A) when the network is unperturbed exact clusters synchronization is observed; (B) when the network is perturbed approximate cluster synchronization appears. From top to bottom, state variables \(x_i(t)\) for \(i=1, \ldots , 10\) (first panel); \(i=11, \ldots , 14\) (second panel); \(i=15, \ldots , 21\) (third panel); \(i=22, \ldots , 41\) (fourth panel); \(i=42, \ldots , 50\) (fifth panel).