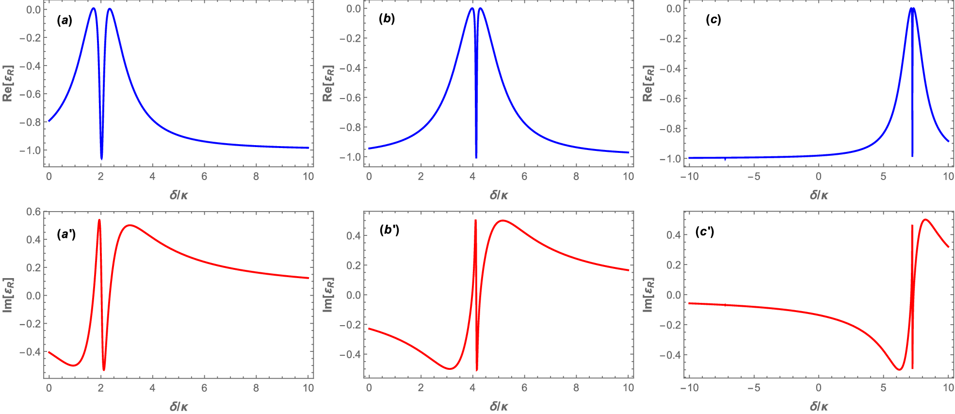
Figure 2

(a–c) The real and \((\mathrm{a}^{\prime },\mathrm{c}^{\prime })\) imaginary parts of the reflected field amplitude versus the normalized frequency detuning \(\delta /\kappa\) for three different values of the s-wave scattering frequency: \((\mathrm{a},\mathrm{a}^{\prime })\) \(\omega _{sw}=5\omega _R\), \((\mathrm{b},\mathrm{b}^{\prime })\) \(\omega _{sw}=15\omega _R\), and \((\mathrm{c},\mathrm{c}^{\prime })\) \(\omega _{sw}=30\omega _R\), in the red detuning regime of \(\Delta =\omega _B\) when the coupling laser pumping rate is fixed at \(|\varepsilon _c| = 0.07\kappa\).