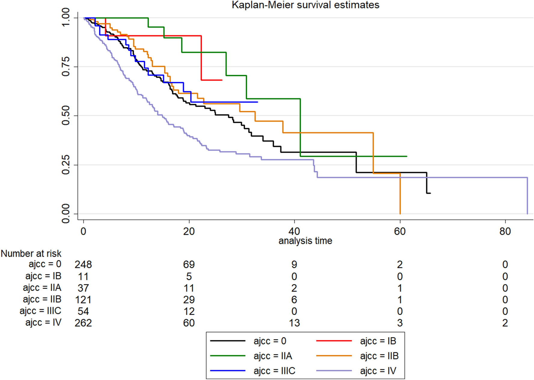
Figure 1

Kaplan–Meier survival curves by American joint committee on cancer staging, along with the number at risks in gastric cancer patients.

Kaplan–Meier survival curves by American joint committee on cancer staging, along with the number at risks in gastric cancer patients.