Figure 4

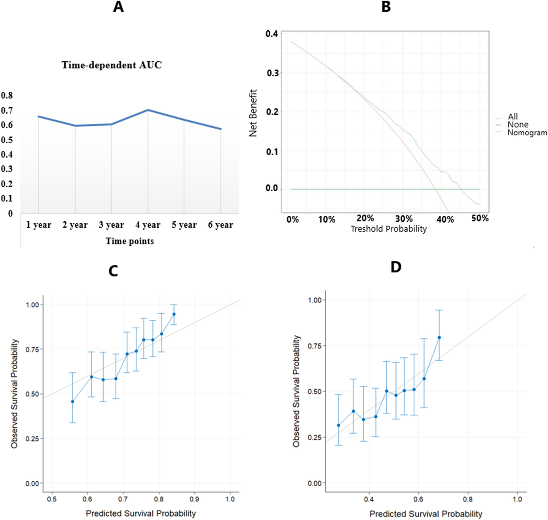
(A) Time-dependent AUC summary at evaluation time points. (B) Decision curve analysis. (C) Internal calibration using bootstrap resampling at 1 year and 2 years.

(A) Time-dependent AUC summary at evaluation time points. (B) Decision curve analysis. (C) Internal calibration using bootstrap resampling at 1 year and 2 years.