Figure 6
From: Ultra-wideband circularly polarized cavity-backed crossed-dipole antenna

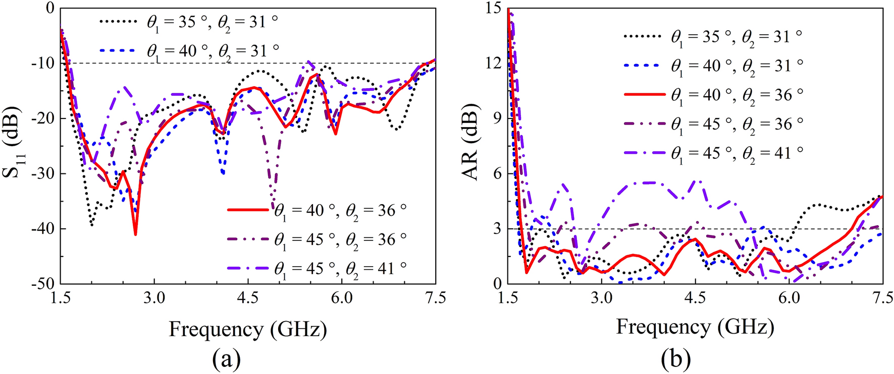
Effect of different θ1 and θ2 on S11 and AR, respectively. (a) S11, (b) AR.
From: Ultra-wideband circularly polarized cavity-backed crossed-dipole antenna

Effect of different θ1 and θ2 on S11 and AR, respectively. (a) S11, (b) AR.