Figure 2
From: Orthogonality catastrophe and quantum speed limit for spin chain at finite temperature

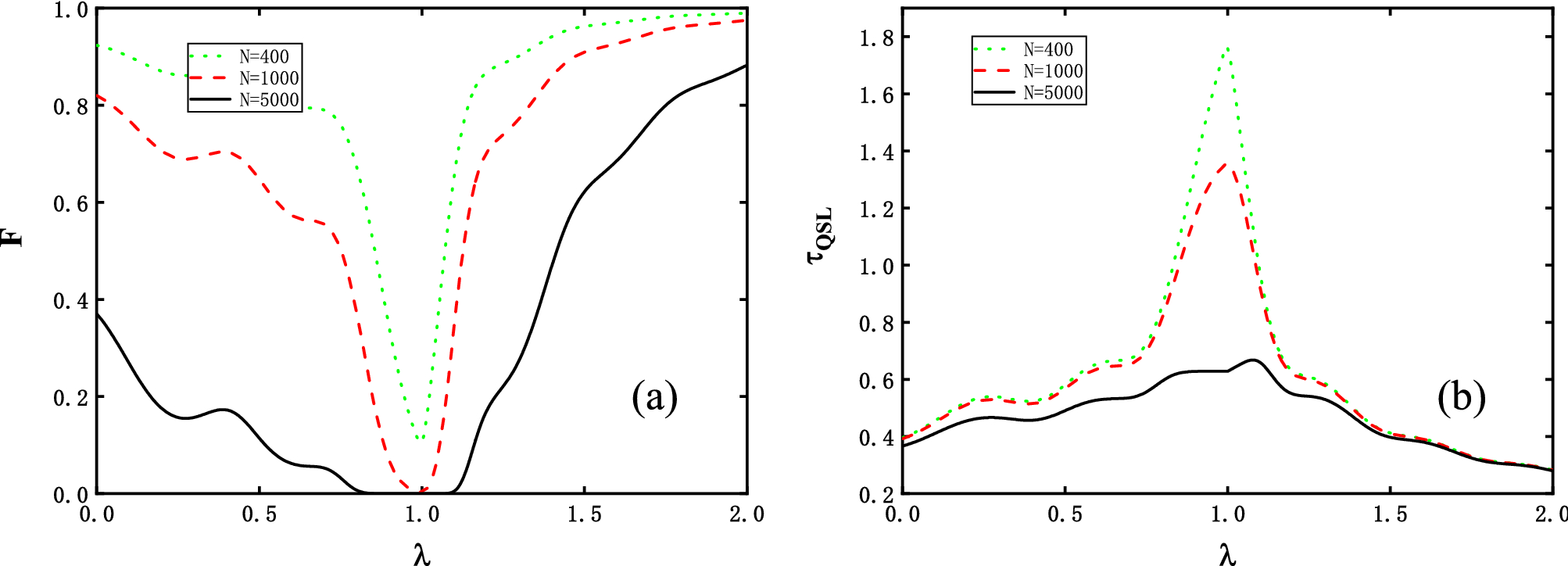
(a) The fidelity F and (b) the QSL time \(\tau _{QSL}\) as functions of the external field \(\lambda \). Each different color line corresponds to the same colored line routine as in Fig. 1, i.e. N = 400, 1000, 5000 for green dotted, red dashed and black solid lines respectively. Here we set a fixed actual evolution time t = 5, weak perturbation \(\delta =0.05\), and anisotropy value \(\gamma =1\).