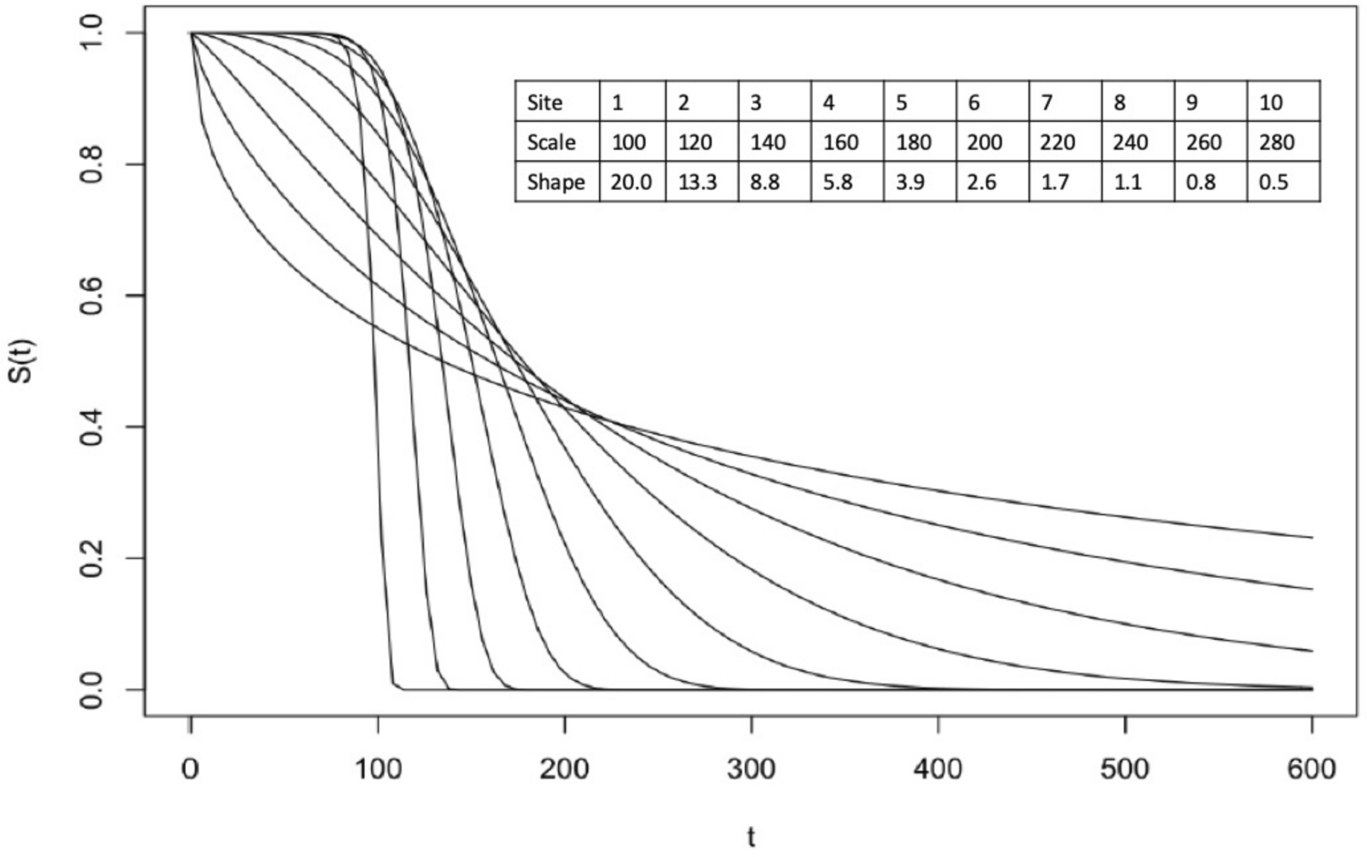
Figure 4
From: ODACH: a one-shot distributed algorithm for Cox model with heterogeneous multi-center data

The baseline survival functions of the 10 sites in the simulated data. The varying hazard functions are Weibull functions with scale and shape parameters as listed.