Figure 1

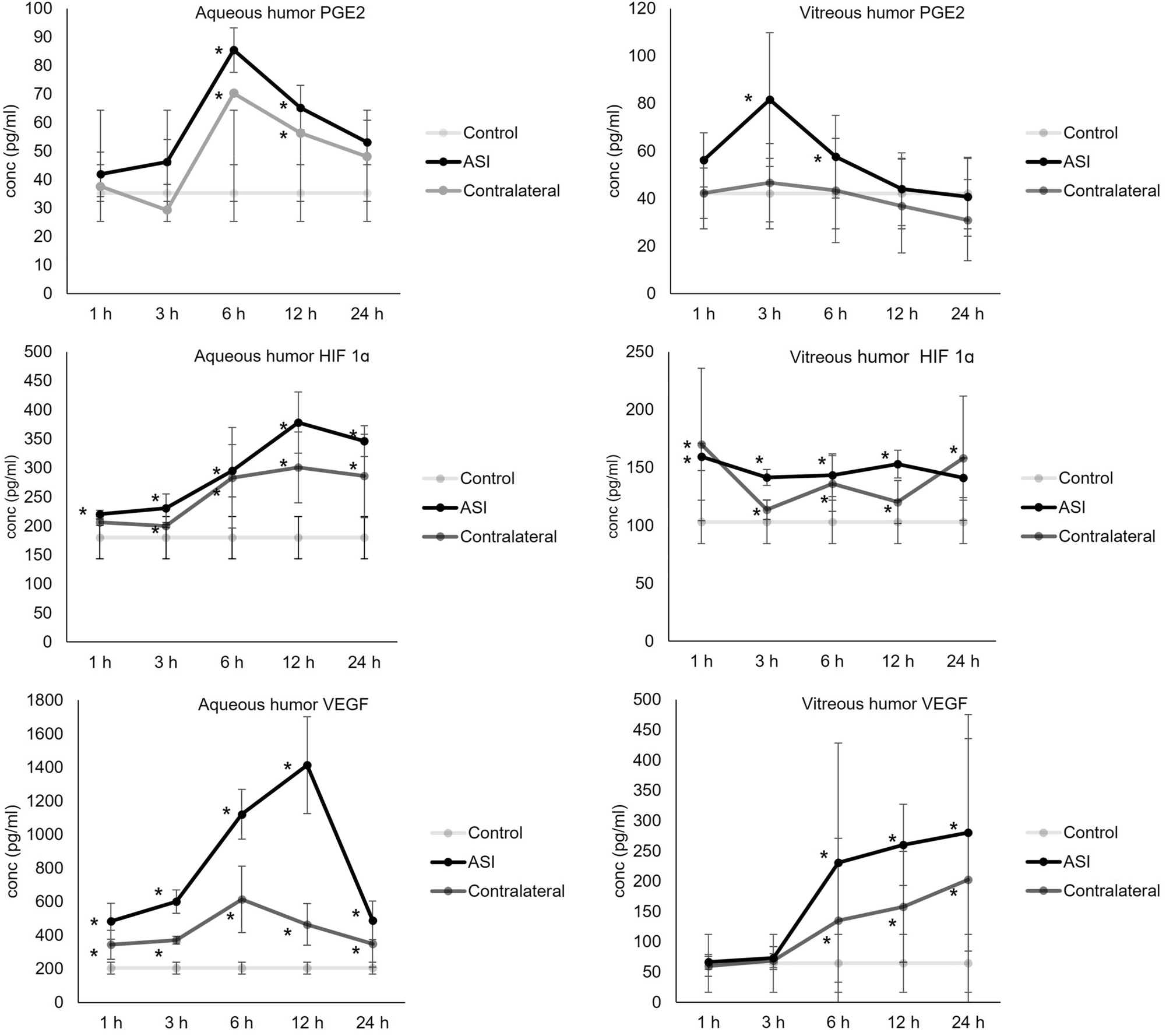
The concentration of angiogenic factors in the aqueous and vitreous humor at each time point. *p < 0.05 compared with control group.

The concentration of angiogenic factors in the aqueous and vitreous humor at each time point. *p < 0.05 compared with control group.