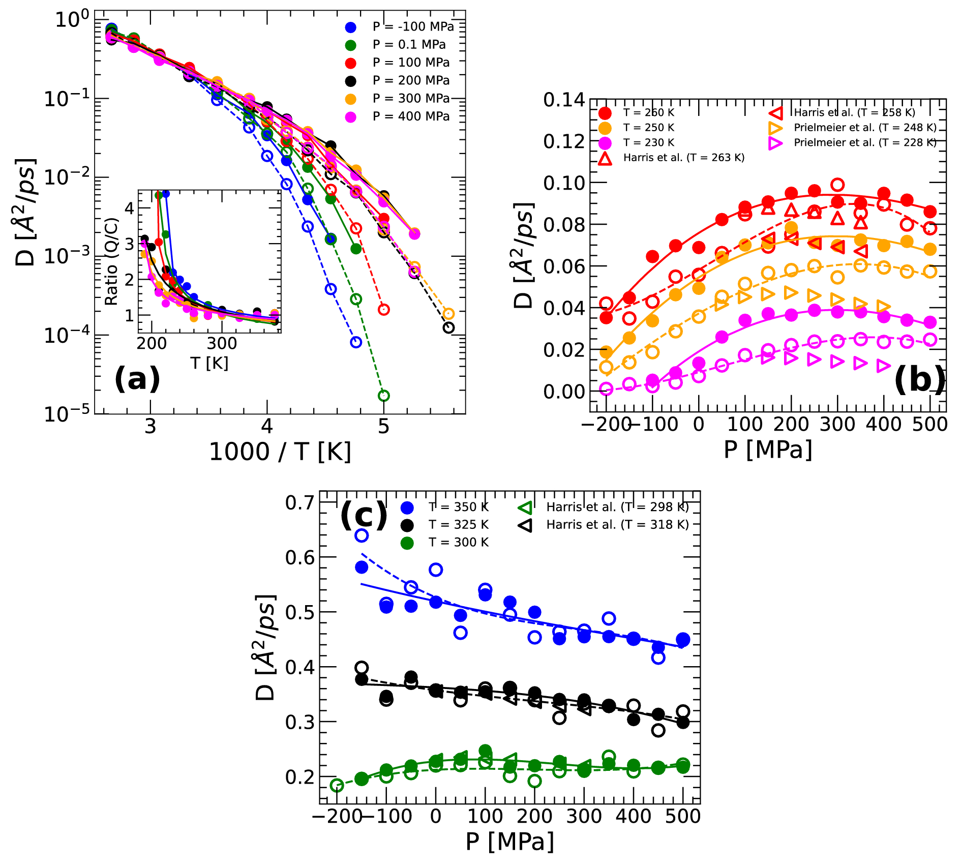
Figure 6

(a) Diffusion coefficient of q-TIP4P/F water as function of temperature at selected pressures. Results from RPMD simulations are indicated by solid circles; empty circles are results from classical MD simulations. Inset: ratio of the diffusion coefficients obtained from RPMD and MD simulations shown in the main panel. The inclusion of NQE increases water dynamics upon supercooling. (b,c) Diffusion coefficients of q-TIP4P/F water as function of pressure obtained from RPMD (solid circles) and classical MD simulations (empty circles); empty triangles correspond to experimental data (left-triangles and right-triangles from Refs.70,71, respectively). An anomalous diffusivity maximum exist in q-TIP4P/F water at approximately \(T < 300\) K.