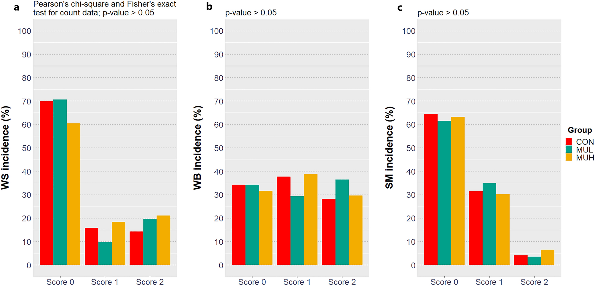
Figure 3

WS (A), WB (B), and SM (C) incidence and severity (score 0, no abnormalities; score 1, moderate degree; score 2, severe degree) of CON, MUL, and MUH at slaughter (42 d). WS, WB, and SM were macroscopically measured on a representative sample of breast fillets (n = 146, 143, and 152 for CON, MUL, and MUH, respectively) after chilling, deboning, and skin removal.