Figure 4
From: Complex drought patterns robustly explain global yield loss for major crops


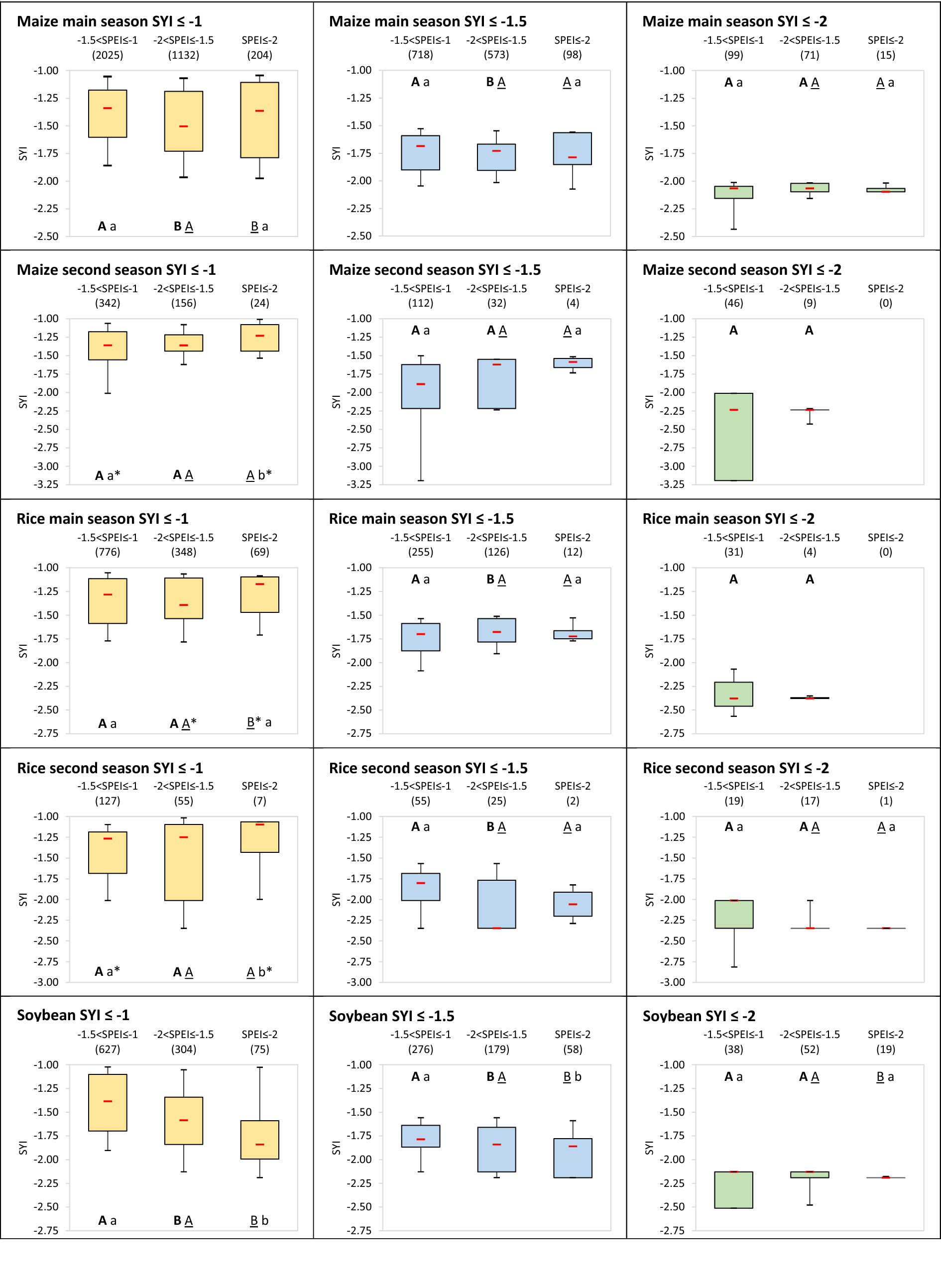
SYI values under drought related SPEI classes. Distribution of SYI values when SYI ≤ − 1 (left panel, yellow box plots), SYI ≤ − 1.5 (central panel, blue box plots) and SYI ≤ − 2 (right panel, green box plots) for − 1.5 < SPEI ≤ − 1, − 2 < SPEI ≤ − 1.5 and SPEI ≤ − 2. The box boundaries indicate the 25th and 75th percentile, the whiskers the 10th and 90th percentiles, and the red bar the median. Numbers enter parentheses indicate the sample available under each SPEI class and SYI range, across the years, countries and SPEI timings and durations considered. The letters with the same style (bold capital, underlined capital, or lowercase) indicate (if different) that in the pair-wise comparison between SPEI classes the related SYI values are significantly different at the 95% confidence level (p-value ≤ 0.05), the asterisk meaning instead a confidence level between 90 and 95% (0.05 < p-value ≤ 0.1).